What would be the reaction mechanism for the reaction between epoxide and $\ce{H2SO4}$?
1 Answers
Note that your question could do with some more data. Here is my answer based on what I think you mean:
You ought to get a glycol.

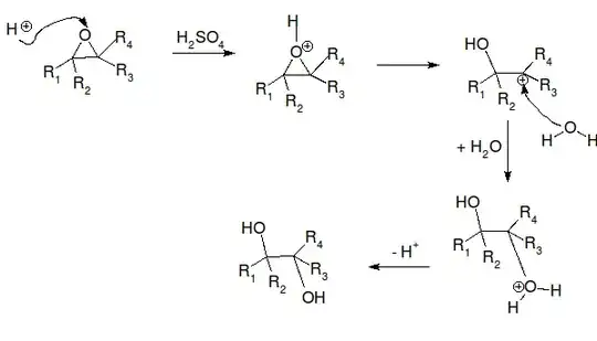
First, a proton from the acidic medium attacks the neucleophile, $\ce{O}$. This creates a positively charged trivalent oxygen. The electrons in one of the two $\ce{C-O}$ bonds transfer to the $\ce{O+}$, breaking the bond and effectively transferring the positive charge to the carbon.
At this point, note that the carbocation thus formed may rearrange.
Now, we have the nucleophilic attack. An oxygen atom (specifically the lone pair of an oxygen) from a nearby water molecule attacks the carbocation, forming another trivalent positively charged oxygen. This is deprotonated, giving the final glycol product.
Here's the same mechanism, showing movement of electrons (pairs):

- 15,177
- 14
- 76
- 114
-
1This answer is incorrect. Wrt this 2010 journal, note that " In the SN1 mechanism, the existence of the typical carbocation was not observed" This is in direct contrast to your statement: "At this point, note that the carbocation thus formed may rearrange." Please can you fix this. Thank you! – Gaurang Tandon Mar 13 '18 at 13:24