What is the mechanism of the attached reaction? How could nosylate do the dehydrogenate the species?

The reaction is from this synthesis (46th IChO preparatory problem 26):

What is the mechanism of the attached reaction? How could nosylate do the dehydrogenate the species?

The reaction is from this synthesis (46th IChO preparatory problem 26):

This is the reaction mechanism that I propose for this reaction. Though it does not show the complete reduction of the 3-nitrobenzene sulfonate, it could be reduced further through the nitroso-hydroxylamine pathway. This means that in total, a single nitrosyl anion could oxidize three molecules of the starting material.
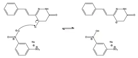
Extraction of a hydrogen by the nitro group. The hydrogen is extremely acidic compared to an ordinary aliphatic $\ce{C-H}$ bond due to the massive conjugation in the resulting ion:
Amide-imidic acid tautomerization:
Resonance structures of the molecule, showing its extensive conjugation, and hence stability:
Radical reaction pathway and formation of the product. Every atom in product is $\mathrm{sp^2}$ hybridized and is conjugated over the entire system. It is much more stable than the starting material, and is the driving force of the entire reaction: