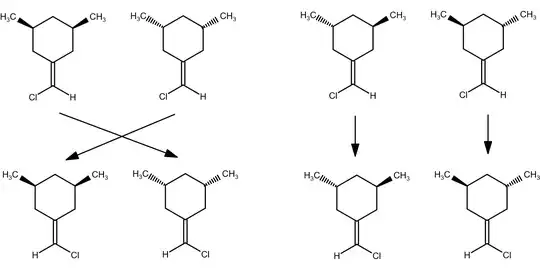
Will this compound exhibit geometrical isomerism?
This question was asked in JEE (Mains) 2020, which is an entrance exam held in India annually. The official answer given for this question was "No", but some books say otherwise.
According to me, this would not show GI about the double bond, because even though the groups on one side are different, the cyclohexane ring is symmetrical and has the methyl groups on both sides. The answer might lie in the groups coming out of the plane, but am not quite sure about that.
Question: Will the above compound show geometrical isomerism?


