Background/Context:
For context, I have been doing a lot of work on experimental systems in geopolymer chemistry lately with a focus on "activator" solutions which are essentially mixtures of sodium hydroxide, sodium silicate and water used to enhance the reactivity of aluminosilicate materials upon mixing all the components together (simplified explanation). When making these "activator" solutions I usually change the $\frac{Si}{Na}$ ratios around in the hope of optimising the reaction with the aluminosilicate material which I've been measuring through other means experimentally.
The Ingredients I use are the following:
Commercial Sodium Hydroxide (Aqueous):
49.9 wt% $NaOH$;
50.1 wt% $H_2O$;
Commercial Sodium Silicate (Aqueous):
30.5 wt% $SiO_2$;
16.7 wt% $NaOH$;
52.8 wt% $H_2O$;
"Extra" (Distilled) Water (Liquid):
100% wt% $H_2O$;
Most of the time, the activator solution I make is clear and good to go. Due to the exothermicity of $NaOH$, I usually leave the solution to cool down for easier handling and so that I can be sure everything has mixed well and reacted together to a steady state. Here is a picture of what the solution looks like in this case with an electric overhead stirrer constant at 200rpm. Note also the beaker in the background which is another activator solution which has stirred a bit more and become clear and "good to go" made with the following feedstocks:
- 97.94 g Commercial Sodium Hydroxide
- 171.63 g Commercial Sodium Silicate
- 68.3 g Extra Water
This corresponds to the following mols:
- 0.87 mols $Si$
- 1.94 mols $Na$
- 11.55 mols $H_2O$
However, I've noticed that sometimes when I make it at specified $\frac{Si}{Na}$ ratios I seem to get precipitation occurring after I've made the solution and allowed it to cool down as seen in the picture below. This is NOT good as it becomes hard to physically handle (like a viscous gel) and limits reaction with the aluminosilicate source; it essentially becomes useless to me and my experiments. This precipitated mixture is made with the following feedstocks:
- 97.29 g Commercial Sodium Hydroxide
- 171.67 g Commercial Sodium Silicate
- 59.47 g Extra Water
This corresponds to the following mols:
- 0.87 mols $Si$
- 1.93 mols $Na$
- 11.04 mols $H_2O$
I've done some reading and consulted some colleagues and I still do not have a clear answer of what's going on and why it's precipitating. I've had a few ideas as to why this may be the case including the following which I explore in the rest of the question:
- Atmospheric $CO_2$ Interaction.
- Soluble Silica Speciation.
Atmospheric $CO_2$ interaction?:
I first wondered if it was $CO_2$ getting in and causing precipitation, so I tried two identical solutions (which I knew had previously precipitated) and exposed only one to atmosphere and they both precipitated at (almost) exactly the same time (the capped one took a bit longer to cool down). So I figured that $CO_2$ ingress is not a severely detrimental factor.
Speciation Curves:
Moving on and thinking it may be related to pH, I've been focusing on chemical speciation in the hope to work this problem out. To start, I reviewed some literature first here and there to see if there were existing silica speciation curves. I then made these speciation curves based on the literature as seen below:
I figured that the less stable silica species, like $Si(OH)\circ O_{3(aq)}^{3-}$ are more reactive due to their unstable charge and thus likely to precipitate and used a pH meter to find that the solution was extremely alkaline (i.e. $pH \geq 14$). Note that the above speciation curves were made with the following equilibria calculations seen below in Equations 1-5 which I back calculated from the mentioned literature assuming the basis of aqueous dissolution of amorphous silica (i.e. $SiO_{2(s)} + 2H_2O_{(l)} \rightleftharpoons Si(OH)_{4(aq)}$):
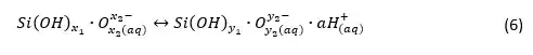
Where, in general, the transitioning of silica species can be defined by Equations 6 below:
Each of the reactions above had both their product (with subscripts $y_1$ and $y_2$) and reactant (with subscripts $x_1$ and $x_2$ for silica and a for protic species quantified by linking with their equilibrium values as per the Equation 7 below:
I then worked on calculating the idealised carbonate system speciation to make certain I understood the maths and chemistry fundamentals. When applying the same logic to the silica system with the above equations and equilibria constants I got these curves:
These curves are entirely different to what I've seen in literature. I'm not sure what I'm doing wrong here or what other things I could try to quantify the system better so that I can mitigate precipitation occurring with the silica system. I thought understanding the pH of everything would be a good place to start, hence why I'm here.
---UPDATE 24/11/22---
I've been trying to understand this better from the POV of the following silicate solubility ternary plot. I've noticed that some of my solutions precipitate outside of precipitation zones (i.e. in the middle of zone 3 and not zone 2), I believe this is because of the different ways of manufacturing sodium silicate in industry. Unfortunately I have not found a link to the plot without a paywall :/ .












upright vs italic // For more, see Math SE MathJax tutorial. // Keep CH SE Q titles in plain text. – Poutnik Aug 25 '22 at 13:49