4

I read an amazing PDF from nptel on elimination reactions...but I was really confused when it used used $\ce{^+NMe3}$ as a leaving group in the reaction pathway via:

  • $\mathrm{Ei}$ (syn-elimination)
  • $\mathrm{E2}$ (anti-elimination)
  • And also, in an illustration for $\mathrm{E1_{cb}}$.

My organic chemistry teacher also did syn-elimination but in the problem solving book and on various online sites it took the $\mathrm{E2}$ elimination pathway.

enter image description here

vanshita rawat
  • 379
  • 3
  • 15
  • 1
    Plenty of other online resources to answer this question. It is E2. You usually see a neutral leaving group leave a an anion. Here it is a positively-charged group leaving as a neutral species. BTW, the Cope elimination is syn. – user55119 Nov 23 '19 at 17:34
  • Yeah copes elimination is syn but I said n+me3 as a leaving group...which is Hoffmann elimination. And the problem is that I found examples in which Hoffmann elimination stereoselectivity was anti and syn. – vanshita rawat Nov 24 '19 at 13:41
  • BTW = by the way. It was an additional comment. I believe I addressed your issue. – user55119 Nov 24 '19 at 16:08

3 Answers3

0

There is a range of elimination reactions with E1cb at one end, E1 at the other end and E2 in between. It is not uncommon for these different reaction pathways to compete with one another. For example, in some elimination reactions, the E1 and E2 pathways can operate in competition with one another. Activation energy is associated with each of these 3 reaction pathways. Whichever pathway has the lowest activation energy will be the major pathway followed. By changing solvent, reaction temperature, the relative strength of the nucleophile, the relative strength of the base, leaving group stability, etc., we can raise or lower the activation energy for each of these 3 pathways and shift a reaction towards one side of this mechanistic range or the other.

(Taken from Ron's answer, in order to start an explanation)(1)

From Wikipedia:

The first step of an E1cB mechanism is the deprotonation of the of β-carbon, resulting in the formation of an anionic transition state, such as a carbanion. The greater the stability of this transition state, the more the mechanism will favour an E1cB mechanism.

So on further thinking about the Hofmann elimination, you notice the following

  1. $\ce{NR_3^+}$ is a poor leaving group (Smith, March. Advanced Organic Chemistry 6th ed. (501-502))

  2. Due to this, the rate of cleavage of the $\ce{C-H}$ bond cleavage exceeds the rate of the $\ce{C-N}$ bond cleavage

  3. In fact, the three well known poor leaving groups namely $\ce{-F}$, $\ce{-SMe^2+}$, $\ce{NR^3+}$ all have the same observation

What's the conclusion?

Of course, these undergo E1cB when heated to a suitable temperature

There are sources which infer the same -

  1. Wikipedia

  2. Organic mechanisms by Xiaoping Sun (3)

  3. Some examples of compounds that contain poor leaving groups and can undergo the E1cB mechanism are alcohols and fluoroalkanes.

  4. The $\ce{-NMe3}$ group is electronegative, it can activate beta hydrogen to make it acidic, vulnerable to attack by a base. This gives rise to carbanion character (e1cb) for the transition state.

Hence, E1cB is the correct answer

Nisarg Bhavsar
  • 3,081
  • 1
  • 11
  • 43
Haha Hahaha
  • 497
  • 3
  • 19
0

The Hoffman elimination is nost often an E2 elimination (as in your last example), as the comments already mentioned. There are many resources that go into greater depth about the reaction.

The "counterexamples" that you gave can all be explained, but they are not peculiar to Hoffman elimination. The same outcome could be observed with a different leaving group, I believe.

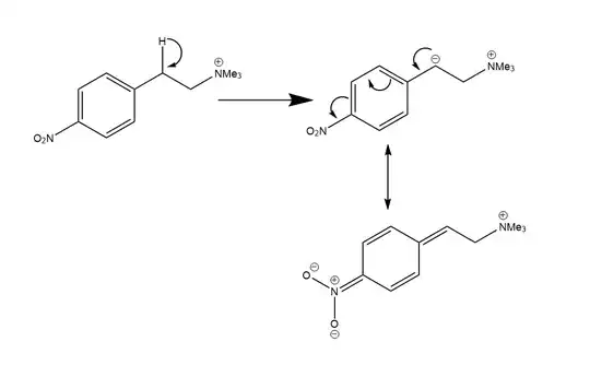
The E1cb elimination happens, because the intermediate carbanion is very stable - it is stabilized by the nitro group and the benzene ring (and also the inductive effect of the trimethylammonium group.

enter image description here

The Ei elimination happens due to the constraints on the geometry of the ring. As you can (hopefully) see on the picture below, the substitutents are forced into an almost eclipsed configuration. Therefore, there can be no anti-periplanar elimination, simply because no bond is anti-periplanar to the C-N bond being broken. The best orbital overlap is therefore reached with the (more or less) syn-periplanar C-D bond, which is therefore the broken one.

enter image description here

FusRoDah
  • 772
  • 4
  • 14
-1

Honestly, leaving groups usually do not determine whether it is syn or ante elimination. Hence, although the leaving group is an amine, it does not change how you view the problem. What determines syn or ante elimination is the type of reaction occurring, whether it is E1, E2 or E1cB.

E2 would always go through an anti elimination due to the requirement of the antiperiplanar transition state.

Whereas for E1 and E1cB, there is no fixed answer to whether it is syn or ante. The product that ultimately forms is dependent on the thermodynamic stability of the product.

Now, let us go back to your "E1" example. That, my friend, is not an E1 elimination! That is in fact an E2 elimination. Your E2 elimination has the requirement of having your hydrogen and leaving group be coplanar. Since the D and ammonium quaternary cation are coplanar, though it is fixed in a syn position, they are forced to go through a syn coplanar E2 elimination. The reason it is not E1 is that your leaving group is on a secondary carbon and therefore E1 is unfavourable.

user85426
  • 323
  • 1
  • 9
  • 1
    anti not ante. ${}$ – orthocresol Dec 01 '19 at 23:32
  • 1
    Somebody had edited my question as I wrote NMe3+ as nme3+ and stuff like that. They must have mistaken the Ei for E1. In the picture also you can see it's Ei not E1 – vanshita rawat Dec 02 '19 at 17:09
  • And I wanted to ask that what is the exact mech. For Hoffmann elimination, Like we decide which reaction to follow in alkyl halides based on solvent, reagent and alkyl halide itself. What's the hard rule here? – vanshita rawat Dec 02 '19 at 17:12
  • See right, $E_i$ elimination occurs when there is a strong base (like alkylithiums) or there the proton is sterically hindered. The base would deprotonate the quaternary ammonium and form a ylide. Then this would go through an $E_i$ mechanism, like this: https://en.wikipedia.org/wiki/Ei_mechanism#Special_Cases_for_the_Hofmann_Elimination As you can see, your final product is DOH not the deuterated amine. Hence, it goes by E2 and not Ei.

    The hard rule is, look at the base, the carbon attached to the leaving group and the carbon attached to the hydrogen (pri, sec or tert).

    – user85426 Dec 04 '19 at 07:59