I have a qqplot of my whole genome sequencing data; A plot is for showing possibly significant driver genes. I tried to read about qqplot though but people only say about the skewedness while I want to know from these two genes which one are more likely to be driver
3 Answers
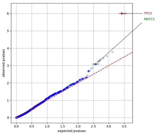
Given that TP53 is the most significant and is already known to have driver mutations in cancer it would seem to be the logical choice.
- 19,602
- 2
- 29
- 60
-
Thank you, does that mean I must ignore MAP1S as a candidate even though it has significant p-value but non-significant q-value? – Zizogolu Feb 18 '19 at 14:57
-
3Nothing I wrote suggests that you must ignore MAP1S, your question indicated you only wanted a single candidate. If you're fine with more then take more. – Devon Ryan Feb 18 '19 at 14:59
You can't know which is the driver and which is the carrier. At most you can say that a specific gene deviate more of the expected underlying hypothesis. See also other resources online.
You also seem to ignore other genes that deviate more of your null hypothesis. I recommend to plot the histogram of the p-values to see if the distribution is uniform
- 4,693
- 1
- 18
- 42
-
I think it's pretty clear from the QQ-plot that these p-values are uniformly distributed (except for the twenty or so in the tail of the distribution)? – winni2k Feb 20 '19 at 15:34
-
@winni2k Usually the QQ-plot is centered around 0 (if using
qqnorm), in this plot it is not centred, also a expected and observed pvalue above 1 indicates that this is not a normal QQ-plot. That's why I recommended the histogram. – llrs Feb 20 '19 at 16:01 -
Ah! I see. I think the x and y-axes must be -log10(p-value) as shown for example here, and not quantiles as would be reported by qqnorm. #missingaxislabels – winni2k Feb 20 '19 at 16:57
This looks to be a pretty good Q-Q plot. My recollection of doing Q-Q plots is that a good Q-Q requires a "more or less" linear relationship for the model to be considered okay. Again this model looks good, its 1:1, albeit it does deviate a little (for the gene of interest). TP15 falls outside the 1:1.
@Devon Ryan states TP15 has good biological credentials, which is clearly important. It maybe worth checking MAP15 because this is "more or less" within your model (for my Q-Q plots definitely within the model :-) ).
In summary, its just my opinion - that on the basis of the Q-Q plot the driver is the not the expected candidate.
- 12,263
- 5
- 28
- 47
