I would like to show that certain types of RBP motifs are enriched in RNA editing islands (i.e. clusters of RNA editing). However, I am unsure about how to think about sequence motifs with respect to their occurrence in other genomic features.
I understand how to find the probability of a motif at a location. i.e.
P(sequence is at position i) = P(A)^[A] * P(C)^[C] * P(G)^[G] * P(T)^[T]
where (.) is the base pair and [.] is the number of bps.
Instead what I would like to find is:
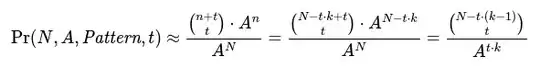
P(sequence S is contained in a feature type T) = ???
where feature type T is an gene, intron, editing island, etc. I think I should incorporate length since I will mainly be comparing genes or introns vs. editing islands. Also, I am not sure what to do about the editing islands being located within genes. How can I keep from counting the same motif twice?
Any ideas would be greatly appreciated. Thank you for your time.
