This is a fascinating question and I do not think there is yet an absolutely agreed consensus even on the likely distribution of the Oort cloud objects and it isn't clear to me how the pictures you show have been produced.
TL;DR There are probably lots of objects with semi-major axes from 100 to a few thousand au, but because they are ejected from the inner Solar System but not strongly influenced by the Galactic tidal field, they have high eccentricities (and so spend longer at aphelion a long way from the Sun) and low inclinations (and so are confined to a disc). Objects ejected even further end up being tidally circularised and the inclinations of their orbits also gets randomised by the Galactic tidal field. This roughly agrees with what is shown in your second image.
Note also the the axes on your diagrams are logarithmic. That means that the volume out to 100000 au is a million times bigger than the volume out to 1000 au. This means that even if the density of objects is higher at smaller radii, their absolute numbers may be smaller in such diagrams.
Now read on
The potential gap you have identified appears to coincide with the region has been termed the "parking zone" by Jilkova et al. (2015) and is defined by the "Kuiper belt cliff" at its inner edge (about 100 au) and the start of the Oort cloud at its outer edge (a few thousand au). The contention is that objects in the parking zone are difficult to produce if they scatter out from the inner Solar System or scatter in from the outer Solar System. Therefore they might either formed in-situ or they are captured objects from another star system during the initial (clustered) stage of the Sun's life.
The Oort cloud itself is thought to be mainly populated with objects that formed in the inner Solar System, where the protostellar disc was dense. Small asteroids that are close to the giant planets can pick up a series of orbital perturbations that boost their eccentricity and semi-major axis, whilst keeping their perihelion distance roughly constant. If that process continues then the asteroids will eventually escape the Solar System, and a large fraction probably did so. However, when the asteroids achieve a very large semi-major axis, the Galactic tidal field can act to circularise the orbits - reducing the eccentricity but preserving the semi-major axis. The circularisation timescale is quicker the larger the semi-major axis.
The combination of these two processes - the "conveyor belt" of building up the eccentricity and semi-major axis, competing with the circularisation of the orbits induced by the Galactic tidal field - produces an Oort cloud of objects with relatively low eccentricity orbits between the "parking zone" and the outer edge of the Oort cloud (the Hill radius), which is where the Galactic tidal field will strip the objects out of the Solar System altogether. I think there are though still plenty of objects in the parking zone with relatively high eccentricities, though these may be more confined to a disc with low inclination (see edit).
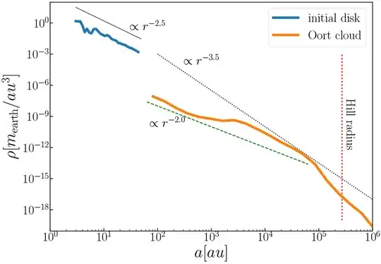
Further reading: Vokrouhlicky et al. (2019) and Portegies Zwart et al. (2021), which is where the summary diagram below is taken from. Their models follow the development of the Oort cloud from a protoplanetary disc in which giant planets have formed, for a billion years. These show that the Oort cloud forms within 100 million years and evolves slowly thereafter.

EDIT! However, the overall number density as a function of radius in both the Vokrouhlicky et al. and Portegies Zwart models do not show the gap that forms the basis of your question. On the contrary, the mass density of objects between 100 and 1000 au is higher than that in subsequent decades of semi major axis (see the orange line in the plot below)!
Note though that the asteroids at 100 to a few thousand au still have low inclinations (according to the simulations) - i.e. are more confined to a disc, so the high densities might mask the fact that they have relatively low densities at high inclinations (as shown in your pictures). It is only when they get beyond the parking zone that the Galactic tidal field starts to mix up the inclinations as well as circularise the orbits.

I think the main reason for the apparent gap is the use of logarithmic axes in your pictures. The volume of space between say 100 au and 1000 au is about a million times smaller than between 10000 au and 100000 au. Thus even though the density is increasing with smaller semi major axis, the absolute numbers in a shell on a plot with logarithmic axes will decrease.