Astronauts on the space station do not feel the Earth's gravity at all; they are in free fall. Since the Earth and all that's on it is in free fall toward the Sun, why would the oceans "feel" the Sun's gravity; i.e., why would the Sun affect the tides at all? It occurs to me (1) it's the center of gravity of the Earth that is in free fall; and (2) points on the surface facing the sun are ~7000 miles closer to the sun than points on the far side; and (3) points on the surface of the Earth at dawn or at dusk experience (due to the Earth's rotation) an acceleration toward or away from the Sun. Are "minor effects" such as these the explanation for why tides are affected?
-
2Astronauts do feel the Earths gravity. They only appear weightless because they, and everything around them, are all falling towards Earth at the same rate. The Earth feels the Sun's gravity in the same way, and as you suggest, the bits that are closer to the Sun are being pulled just a little bit harder then the rest. – Paul Smith Oct 04 '22 at 22:07
-
Weight is a relative calculation and varies depending on the frame of reference. Gravity and tidal forces exist between all objects with mass and size. – Jodrell Oct 05 '22 at 07:22
-
@PaulSmith You can't feel gravity. What we experience as our weight is whatever force opposes the gravitational force and prevents us from being in free fall. For objects in free fall, there is no opposing force, so no feeling of weight. (I'm talking about point particles. An extended object can feel tidal forces, but the tidal force on us from the Earth is too small to feel.) – d_b Oct 05 '22 at 18:40
8 Answers
Yes, the sun does raise tides in just the same way that moon raises tides. It is the difference in gravity that causes the tide. So it is your point 1 and 2. The rotation of the earth causes the tides to move, but don't actually cause the tidal force.
The Earth also raises tides on astronauts, but an astronaut is so small that the difference in gravity between her head and her feet is tiny, and the tidal effect is consequently also tiny (and negligible)
The moon raises tides in the same way. The Earth is is freefall in its orbit with the moon too.
Alternatively you can think in terms of a rotating frame of reference. In such a frame, the side of the earth nearer the sun is moving at sub orbital speed, so gravity is stronger than the centrifugal force. On the other side the centrifugal force is stronger, the effect is to pull water towards and away from the sun.
- 120,702
- 5
- 298
- 423
-
14"The Earth is in freefall in its orbit with the moon too." That is such a valuable comment. The popular explanation of tides would have us think it's the full gravitational pull of the moon, whereas actually it's just a small fraction of that; namely, it's only the difference between gravity at (238,900 + 3,950) mi and (238,900 - 3.950) mi – GulbenkianD Oct 02 '22 at 15:47
-
3I'm always a sucker for non-inertial reference frames and centrifugal forces. Too many people are taught in high school and early university physics that those don't exist, and are never dissuaded of that notion. But they can be extremely illuminating, such as here. Even though they are a real pain to do actual calculations with. – Arthur Oct 03 '22 at 11:19
-
@Arthur: I have occasionally heard people misuse the terms "centripetal [force/acceleration]" to mean "uh, sort of like centrifugal force, but like inertia-y and stuff, because centrifugal force isn't real." – Kevin Oct 03 '22 at 21:11
-
1"the side of the earth nearer the sun is moving at sub orbital speed" - while this is true, it's a pretty small effect (only about 24 m/s), since the diameter of the earth is very small compared to its distance from the sun. The much larger effect is Earth's rotation, which causes the daytime side to be moving about 927 m/s slower around the sun than the night side. – Skyler Oct 04 '22 at 15:56
-
It is the difference of forces at different points on the earth, but it's not far side versus near side. If that were the case, you wouldn't get a bulge on the far side. It's the difference of the forces at the poles and the equator (and everywhere in-between) that cause the tides. – JimmyJames Oct 04 '22 at 16:01
-
No, this answer is incorrect. In a landless Earth model, the tides have more to do with the perpendicular component of the tidal force (as explained by @JimmyJames in his answer). And on the real Earth, with continents and resonant frequencies and stuff, the tides are more to do with those imperfections, not directly the position of the Moon or Sun (as explained by Martin Kochanski in part of his answer). – ajd138 Oct 04 '22 at 20:14
-
@ajd138 My understanding is that the cause of the tides is still the perpendicular force and the continents and land forms are what create variations from the landless model. That is, the continents don't cause the tides, they modify them. – JimmyJames Oct 04 '22 at 20:17
-
1Anyway, this is not meant to be a complete description of tidal theory, only an answer to the question "does the sun raise tides, given that the Earth is is freefall?" Yes, the actual flows of water are a resonant response to a periodic forcing from the sun and moon. But the coastline doesn't cause tides. Nor do I feel it is necessary to get into details of components of tidal forces, or the polar component. It is limited to answering the question. – James K Oct 04 '22 at 20:29
-
@JimmyJames I guess you could phrase it as "the fact that tides exist at all is because of the driving tidal forces (acting in the way you say), but the actual tides many (most?) people experience can't be thought of as simply modifying the theoretical tides from some double bulge equilibrium, it's too messy and local for that". – ajd138 Oct 04 '22 at 20:33
-
@JamesK The question is about actual tides though. Of course you don't need all the nitty gritty to answer the OP, but one shouldn't repeat a falsehood about how tides work when someone is asking for an explanation. – ajd138 Oct 04 '22 at 20:35
-
@ajd138 OK, I think I get your point. Currents are a major factor as well, I think. – JimmyJames Oct 04 '22 at 20:55
-
1@JamesK The only nit I have to pick with your answer is that you talk about how the tidal force on the astronaut is tiny but don't mention that it's effect is also tiny w/ regard to the tides. It's almost negligible. – JimmyJames Oct 04 '22 at 20:58
Yes, it is the minor effects. The Sun’s gravitational pull as such is not what raises tides. What raises tides is, as you suggest, the difference between the Sun’s pull on the near, “midday” side and the far, “midnight” side.
Assuming an inertia-less frictionless ocean, the formula for the height of the tides is charming:
The tidal range (high tide to low tide) is ρθ³ times the radius of the Earth, where ρ is the density of the Moon relative to the Earth and θ is the angular radius of the Moon as seen from the Earth, in radians. See this paper.
In that quotation, “Moon” can be replaced by “Sun” or any celestial body you want. What is charming about this is that - since the Sun and Moon are the same size in the sky - the fact that solar tides are weaker than lunar ones shows that the Sun is less dense that the Moon.
(An astronaut in free fall similarly has tides raised by the Earth but given how small an astronaut is, the tides are too small to measure.)
——
The rotation of the Earth comes in in two ways. First, if the Sun did not revolve around the Earth then the tides would not move either and we would not notice them. Second, the real ocean is not inertialess or frictionless, and it the tides we see are the response of inertia, friction and undersea topography to the “simple” (and remarkably small) forcing of the ideal lunar and solar tides. If you take a shallow soup bowl and fill it to the brim with soup then you will see how relatively small movements at exactly the right (or wrong!) rhythm will have a much bigger effect than the movements themselves.
- 1,820
- 10
- 14
-
That formula is blowing my mind. I'm curious to what extent it still applies to earth's discontinuous oceans? Because our oceans are broken up by pieces of land, the phase of the tides isn't a simple function of longitude https://www.spp-sealevel.de/resources/extraction-and-visualization-of-global-and-coastal-sea-level-projections-and-ocean-tides/ocean-tides-from-the-high-resolution-data-assimilative-hamtide-model – craq Oct 04 '22 at 01:35
-
1Could you please clarify "if the Sun did not revolve around the Earth" – PM 2Ring Oct 04 '22 at 02:06
-
3Whenever you see a paper, etc., that uses centrifugal force to explain the tides, run away. Find another source. That so called centrifugal force is not what any physicist would call a centrifugal force. It is not needed. All that is needed is gravitation. Whenever you see a paper, etc., that uses the concept of a tidal bulge, run away. Find another source. There is no tidal bulge. There are many place on Earth that experience diurnal tides where low tide rather than high tide occurs when the Moon is overhead or underfoot. – David Hammen Oct 04 '22 at 12:41
-
"What raises tides is, as you suggest, the difference between the Sun’s pull on the near, “midday” side and the far, “midnight” side." How does that explain the tidal bulge on the far side? – JimmyJames Oct 04 '22 at 16:03
-
James' answer is brilliant in explaining the forces acting on the object. But if you don't see how to reconcile that with the idea of an object being in free fall...
Earth is not one indivisible object. It's made out of smaller parts - for our purposes here, it's enough to consider just a few of them. And while Earth as a whole can be considered to be in free fall, the parts Earth is made out of aren't. If you remove all the forces holding the Earth together, it's going to spread out into a disc around the Sun.
Let's ignore Earth's rotation, stickiness and gravity for now (though do keep the fact that gravity always works both ways in the back of your mind). Let's keep Earth perfectly smooth and spherical for now, except for a layer of pebbles on the surface. Now make the whole sphere disappear, and keep just the pebbles behind. At this point, it should be really clear that different pebbles will have different freefall trajectories. The ones closer to the Sun will have a shorter orbits than the ones further away from the Sun.
This will cause the pebbles to move "out of formation" - the Sun-close ones will move on their orbits faster, while the Sun-distant ones will move slower. And it's exactly this difference that manifests as a very real force - since the Earth in fact is sticky and held together by its own gravity, the pebbles with different orbital paths can not follow their paths; they are deflected.
One thing that often trips people up (including physics teachers, unfortunately) is that the net force on a mass of water right under the Sun is really small. That's why the tidal force doesn't cause the water in your glass to rise ten meters up every time noon comes. Tides are the summed up contribution of these tiny forces over huge masses of water essentially being pulled towards a common "line". And even then, the effect is absolutely miniscule compared to the size of the Earth - to come back to your astronauts, the Earth is already smoother than a billiard ball with its massive deeps and mountain ranges, and tides are entirely insignificant next to those; the same tidal force effect on a human being is utterly imperceptible. Humans are tiny.
Of course, if you put yourself on a close orbit around a naked black hole, the difference would be much more obvious, and quite enough to tear you apart :)
- 498
- 2
- 8
-
1Another way to put JamesK's explanation is: if rock on the sun-facing side were not firmly attached to the Earth, it would begin to spiral in to the sun, because its velocity is not quite high enough for a mass at 93 million minus 3,000 mi to keep Earth's orbit. Rock on the far side would begin to spiral farther out, since it is moving too fast for an object at 93 million plus 3,900. This picture explains why water could bulge at both the near and far sides of the Earth and, necessarily, thin elsewhere. Putting it this way allows one to avoid an odious reference to centripetal force. – GulbenkianD Oct 05 '22 at 12:51
-
The Earth as a whole can be said to be in free-fall with the Sun (and moon). However, if you consider sub-components, such as the oceans, or even the land masses, they are not in free-fall. They are constantly applying forces to each other. Effects such as the tides appear when we increase the fidelity of our model to treat the Earth as more than just a rigid body. The CG of the Earth must move along the expected (nearly) elliptical orbit, but the "internal" structure of the Earth can have more complex motion.
- 333
- 1
- 7
The Earth's tides are one of the most incorrectly understood and explained scientific phenomena. Most of the explanations you will find are completely wrong. Even Feynman explained them incorrectly in one of his recorded lectures. Therefore, I think that no one should feel bad about understanding them incorrectly.
There's a fundamental problem with the idea that the difference in distance from the sun (or moon) on the near side and the far side of the earth is that there are two tides every day. There's one on the near side and one on the far side. The farthest point away. It doesn't really make sense that the gravity would pull the water towards a body on the near side and push it away from that same body on the far side. EDIT: I suppose the idea is that the tidal forces 'stretch' the far side relative to the center of the earth. The video at the end explains why this idea doesn't pan out. Spoiler alert: the tidal force that would cause that is far too small.
You are definitely on the right track. The earth is in freefall with regard to the moon and sun but so is the water on earth. In other words, the acceleration due to the gravity of the sun or moon on the water is the same as any other matter on earth. Water isn't somehow special in this regard.
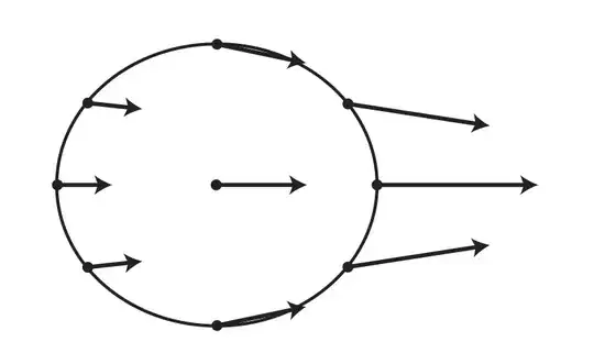
The tides are caused by the difference in the direction of the gravitational forces on different points on earth. Around the equator, all of the gravitation is orthogonal to the surface. NOAA has a good explanation of this. Here's a picture from that article that shows exaggerated vector forces on the earth by the moon:
Note how the direction of the force is straight up (or down) at the equator but angled everywhere else. Once you account for the average gravitational pull and effectively the fact that the entire body is in freefall (including the oceans) the net result is like this:
These net forces are small but the ocean is so large that it accumulates into the effect that we see. This is also explains why there is very little tidal effect on the great lakes: they are too small.
This video explains this better and more fully
- 111
- 5
Chapter-30, Visual Differential Geometry by Tristan Needham.
Here it is shown the moon but the same principle more or less applies with the Sun.
- 109
- 2
-
3Nice graphic, but I don't think this answers the question as to why tides exist in freefall. – Greg Miller Oct 03 '22 at 21:05
Astronauts experience tides, but they are not round and liquid and the tides are very small so the astronauts do not feel the gravity of the sun and the centrifugal force pulling them out. The oceans only move buy a millionth of a percent of their overall weight.
They are not also in pure freefall they are being balanced by two forces. Free fall towards the earth/moon and centrifugal Force of orbit.
Because astronauts have only been as far as the moon, they generally experience the balance of four forces of which the sun is only a small amount compared to the other three.
- 4,252
- 14
- 21
-
"being balanced by two forces, Free fall towards the earth/moon and centrifugal Force of orbit" is the very definition of "free fall". ("Free fall" does NOT mean "falling directly down".) – Martin Kealey Oct 04 '22 at 05:55
The concept of a free-falling frame of reference is local. Here, local means that the physical extent of the inertial frame of reference is small enough that you do not notice (in any experiment) the non-inertial forces (e.g. tides) that are acting.
Now the whole of the Earth cannot be in a single free-falling frame of reference. It may well be that the centre of mass of the Earth is in a free-falling frame of reference, but that means all the other locations (e.g. on the Earth's surface at various points) are in different, non-inertial frames of reference. The question really is just one of size - is the size of the Earth big enough that there will be significant observed effects caused by the change in gravitational acceleration caused by the Sun experienced at different points on the Earth's surface? The answer is yes, it is and the ocean tides raised by the Sun are something like one third of the amplitude of the tides raised by the Moon.
You also mention astronauts. Well the same physcs applies there. The whole of an astronaut cannot be in a single inertial (free-falling) frame of reference. The different parts of an astronauts body are in different frames of reference. The same (qualitatively) tidal stretching is present for an astronaut orbiting the Earth, but the effect is very small because the extent of an astronaut is very small and so for most practical purposes, the interior of an orbiting spacecraft can be treated as a single free-falling frame of reference.
- 151,483
- 9
- 359
- 566


