Recently, I answered this question and need some clarification regarding the gravity when within the radius of a star. I thought that, when something is inside a star (ignoring drag), it will experience less gravity because as it goes deeper inside, more and more mass is outside (in the up direction) the distance left before it reaches the center. Is this true, and is there a formula that needs certain parameters to calculate it?
-
2In general relativity, this is how https://en.wikipedia.org/wiki/Tolman%E2%80%93Oppenheimer%E2%80%93Volkoff_equation – Daddy Kropotkin May 21 '21 at 15:14
-
2You have to also consider that the star does not have uniform density, so as you go deeper into the interior there is more mass above you, yes, but you're approaching higher densities as well. It is complicated. – Daddy Kropotkin May 21 '21 at 15:15
-
1See https://en.wikipedia.org/wiki/Shell_theorem & https://astronomy.stackexchange.com/search?q=+shell+theorem – PM 2Ring May 21 '21 at 21:24
4 Answers
If you consider a radially symmetric mass distribution, the gravity experienced at a distance $R$ from the center is caused by the mass inside the sphere with radius $R$, thus the mass $$M(R) = \int_0^R \varrho(r) 4 \pi r^2 dr$$ In a radial-symmetric case one can show that the contribution of all masses outside $R$ cancel each other.
Thus the experienced gravitational acceleration at radius $R$ is $$g(R) = \frac{G}{R^2}\int_0^R \varrho(r) 4\pi r^2 dr$$
The interesting part here is to know the radial density variation $\varrho(r)$ inside your body, thus the Sun in this case. This depends on the equation of state of the matter - which in turn is one of the least well known equations. Deriving that requires intricate modelling of the Sun. There are at least two nice answers which give the radial density variation. There's a link in the first answer to data for the standard solar model for radius, density, enclosed mass etc.
EDIT to add a way to address the density profile:
One may try to get a handle on the density by assuming a polytropic model for the star, such that the relation between pressure $p$ and density $\varrho$ reads like $$ p = K \varrho^\frac{n+1}{n}$$
With a constant $k$ and the polytrope index $n$. This is a result of the solutions of the Lane-Emden equation $$\frac{1}{\xi^2} \frac{\mathrm{d}}{\mathrm{d}\xi} \left(\xi^2\frac{\mathrm{d}\theta}{\mathrm{d}\xi}\right) + \theta^n = 0$$which is a dimensionless form of the Poisson equation for a radially-symmetric self-gravitating polytropic fluid, thus where density follows a function of the form $\varrho = \varrho_c \theta^n$ with a central density $\varrho_c$. This equation can be solved exactly for polytrope index 0 (isobaric polytrope), 1 (isothermal polytrope) and 5 (limited use as it results in infinite stellar radius) and can be addressed analytically via convergent series and can also be solved numerically for a wide range of cases.
Yet a main sequence star is believed to be around $n=3$ for the radiation zone. Fully convective stars follow more an adiabatic gradient with n = 5/3 being the ratio of the heat capacity at constant pressure and heat capacity at constant volume for an ideal mono-atomic gas. You will have to integrate the equation numerically for these cases, though.
(Reinhard Meinel gives excellent lectures on relativistic astrophysics - and I still use my notes from back then as reference - but I'm sadly not aware of any published form of the notes on this particular topic... maybe this)
- 13,836
- 2
- 40
- 58
- 19,369
- 3
- 46
- 80
-
You can mention a polytrope model but I don't know how to get $\rho(r)$ out of that. – uhoh May 22 '21 at 02:01
-
1Good point. It moves the problem to picking the right polytrope index, though. – planetmaker May 22 '21 at 07:57
-
Wow, excellent update, thank you! I've made an edit further differentiating the types of solutions using the Wikipedia article's terminology. fyi I've just asked in Math SE Could there be exact solutions to the Lane-Emden equation for real n≥0 other than 0, 1, or 5? – uhoh May 23 '21 at 00:27
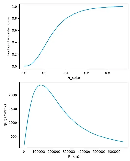
Just for fun I'll plot the data cited in @planetmaker's answer and use the equation there to plot the gravity.
We'll apply Newton's shell theorem to their equation:
$$g(R) = \frac{G}{R^2}\int_0^R \varrho(r) 4\pi r^2 dr = \frac{Gm(R) }{R^2} $$
where $m(R)$ is the mass enclosed by a sphere of radius $R$.
I plotted using this script.
It prints out 31.1 standard Earth gravities at surface which is close to Wikipedia's 28 Earth gravities. I didn't use interpolation or numerical integration or even Simpson's rule, so a 10% error is not surprising.
import numpy as np
import matplotlib.pyplot as plt
G = 6.67430E-11 # m^3/kg/s^2
data = [[float(x) for x in line.split()[:2]] for line in table.splitlines()]
m, r = np.array(data).T
r_solar, m_solar = 696342000., 1.9885E+30 # meters, kilograms
r_real, m_real = r * r_solar, m * m_solar
g = G * m_real[1:] / r_real[1:]**2
print(g[-1]/9.815, 'standard Earth gravities at surface')
plt.figure()
plt.subplot(2, 1, 1)
plt.plot(r, m)
plt.xlabel('r/r_solar')
plt.ylabel('enclosed mass/m_solar')
plt.subplot(2, 1, 2)
plt.plot(r_real[1:]/1000., g)
plt.xlabel('R (km)')
plt.ylabel('g(R) (m/s^2)')
plt.show()
using the copy pasted text of the table from here as table.
- 31,151
- 9
- 89
- 293
Yes. Insofar as such thing might be possible (perhaps in the style of the novel “The Mote in God’s Eye”), and assuming a star that has a spherically symmetrical mass distribution:
Gravity inside a star acts like if all the stuff in the shell of matter farther from the star’s center than you wasn’t there at all. You feel attraction only from the stuff “beneath you” (the inside sphere of mass closer to the star’s center than your ship). This result is typically proven via Gaussian surfaces.
To paint a mental picture: on an idealized Earth you feel exactly zero gravity from the atmosphere everywhere on the planet, and all the gravity force comes from the ground underneath your feet.
So the formula is the same Newton’s gravity formula and you only need to know the mass density function of the star (which by necessity of the spherical symmetry assumption must depend only on the distance to the star’s center). You integrate that density function from 0 to your ship’s distance from the star’s center, so you know what $M_1$ to plug into Newton’s gravity equation.
Notice that the spherical symmetry is vital to this result. If the mass density of the star is not spherically symmetrical, the Gaussian surface argument doesn’t hold and you are going to have to integrate the gravity equation for the whole star (below and above you) to find out.
(Also of course we assume that the star is not so dense and close that General Relativity starts to become important)
- 186
- 5
-
-
2If you want me to add citations to make it a better answer, yes I can add something, but probably not while I’m at work; I’ll try this evening. If you just want to be convinced, you can search this site or physics.se for the words ‘Gauss gravity’ and you’ll get dozens of matches with a fuller treatment. This is a fairly common question and I wouldn’t be surprised if this question is flagged as a duplicate before the day is over. – Euro Micelli May 21 '21 at 15:00
For an atom of mass $m$ in the sun to be at a constant radius $R$, the centrifugal force due to any non-radial thermal velocity component $v$ must be equal to the gravitational force, i.e.
$$m\frac{v^2}{R} = \frac{Gm}{R^2}\int_0^R \varrho(r) 4\pi r^2 dr$$
Assuming an isothermal gas ($v=const.$), this requires obviously a radial density distribution $$\varrho(r) \propto\frac{1}{r^2}$$
This is assuming a collisionless gas ball (undisturbed orbits of the atoms) and may therefore not be a particularly realistic model for a star, but it is interesting that this leads to the same radial density distribution $1/r^2$as the condition of hydrostatic pressure equilibrium for an isothermal ideal gas sphere
$$\frac{1}{\varrho(R)}\frac{dP(R)}{dR}= \frac{kT}{\varrho(R)}\frac{d\varrho(R)}{dR} = \frac{Gm}{R^2}\int_0^R \varrho(r) 4\pi r^2 dr$$
The gravitational force in this case is $\propto 1/R$.
Any temperature dependence on $R$ would obviously change the result.
- 3,061
- 5
- 12
-
This is a strange answer, why are you bringing the centrifugal force into this? The centrifugal force cannot have anything to do with the structure of a star, as it would flatten out into a disc and the pressure gradient would be set by the velocity, not by density... you cannot separate the three forces, they always exist in simultaneous equilibrium! – AtmosphericPrisonEscape May 22 '21 at 16:33
-
@AtmosphericPrisonEscape The velocity here is the thermal velocity of the atoms, not the rotational velocity of the star. And in order for an atom to remain at the same radial distance $R$ the gravitational force must equal the centrifugal force. This is assuming a collisionless gas ball (undisturbed orbits of the atoms) and is therefore not a particularly realistic model for a star, but it is interesting that this leads to the same radial density distribution as the condition of hydrostatic pressure equalibrium for an isothermal sphere.. – Thomas May 23 '21 at 09:02
-
You are apparently trying to apply stellar orbit theory to a pressure-supported gas, this is so wrong, I don't even know where to start. 1.) Your Eqn. (1) is not a kinetic equation, so you cannot claim for it to have anything to do with the thermal velocity of atoms. 2.) Your Eqn. (1) only implies $mv^2/R=GmM/R^2$, which you might recognize as the force-balance for a centrifugally supported structure (i.e. a disk). It does NOT imply anything for the density profile of the disk, as centrifugally supported structures generally can support ANY density profile. 3.) $F_{centr} + F_{press} + F_G =0$ – AtmosphericPrisonEscape May 23 '21 at 15:22
-
@AtmosphericPrisonEscape The first equation I wrote is for a self-gravitating collisionless gas sphere, so the density profile is vital (as you can check by trying different profiles). And although the gas is of course in reality not collisionless, the answer obtained from this is identical to that obtained from the condition for hydrostatic equilibriun of an ideal gas sphere. – Thomas May 23 '21 at 15:36
-
I know what those equations are, but you're trying to fit a King profile to a star, which couldn't be more wrong. You have not addressed my criticism in any way. – AtmosphericPrisonEscape May 23 '21 at 16:12
-
@AtmosphericPrisonEscape I did address your criticism where you falsely stated my equation would not imply anything for the density profile when it in fact explicitly appears there (the equation in your comment is not the one I wrote). I also mentioned that it holds for an atom in a collisionless gas, so there is no pressure term, and also that the density profile required from hydrostatic pressure equilibrium is the same. So there is no basis for you to say the approach couldn't be more wrong. It may not be the traditional way of doing it, but it should be helpful to understand the problem – Thomas May 23 '21 at 17:38
-
Your density profiles integrates out to the enclosed mass $M(r)$, and $m$ cancels on both sides. Again, no contraints exist on the density profile for a centrifugally supported structure. You then continue to plug your centrifugal solution into a pressure-supported one, this isn't just non-traditional, it is inconsistent. See the other answers for a correct approach. – AtmosphericPrisonEscape May 23 '21 at 17:46
-
@AtmosphericPrisonEscape The constraint is that the left hand side of the equation (the centrifugal force an atom in orbit around the center experiences) goes like $1/R$ for constant $v$, This requires that the density in the integral on the right hand side goes like $1/R^2$. The same density profile results completely unrelated if you equate the gravitational force with the radial pressure gradient for an isothermal ideal gas. – Thomas May 23 '21 at 17:58
-
For the latter part, it is true that $\rho(r) \propto r^{-2}$ solves as ansatz for pressure balanced with gravity. Doesn't make first part more sensible, or selectively balancing forces, or assuming isothermality in the first place for a star, does it? – AtmosphericPrisonEscape May 23 '21 at 18:21
-
I'll try it one last time: A globular cluster is not a star. – AtmosphericPrisonEscape May 23 '21 at 18:30
-
@AtmosphericPrisonEscape A globular cluster is not a star The difference between them is pretty much irrelevant here. The OP's question can be applied to either of them. An isothermal self-gravitating spherical mass will always have a radial density density $\propto 1/r^2$ in steady state and thus a gravitational force $\propto 1/r$ . Generally speaking, a self-gravitating structure will always adjust its density distribution so that its internal energy balances against gravity everywhere. – Thomas May 29 '21 at 16:35
