Nicotină
| Nicotină | |
![]() | |
![]() | |
| Identificare | |
|---|---|
| Număr CAS | 54-11-5[1][2][3] |
| PubChem | 89594 |
| DrugBank | DB00184 |
| ChemSpider | 80863 |
| UNII | 6M3C89ZY6R[2][1] |
| KEGG | C00745 |
| ChEMBL | CHEMBL3[4] |
| SMILES | N=1C=CC=C(C1)C2N(C)CCC2 |
| InChI | InChI=InChI=1S/C10H14N2/c1-12-7-3-5-10(12)9-4-2-6-11-8-9/h2,4,6,8,10H,3,5,7H2,1H3/t10-/m0/s1 |
| Date chimice | |
| Formulă | C₁₀H₁₄N₂ |
| Masă molară | 162,115698448 u.a.m. |
| Date fizice | |
| Densitate | 1,01 g/cm³[5] |
| Punct de topire | −110 °F[5] |



Nicotina (alfa 3 piridil-N-metilpirolidina) este un alcaloid pirolidinic identificat în Nicotiana tabacum, fam. Solanaceae, ce reprezintă aproximativ 0,6-3,0 % din greutatea uscată de tutun. Se poate folosi ca insecticid.[6]
În concentrații mici (aproximativ 1 mg de nicotină absorbită), substanța acționează ca un stimulent la mamifere și este principalul factor responsabil pentru dependență. Potrivit American Heart Association, dependența de nicotină a fost istoric, una dintre cele mai grele, în timp ce caracteristicile farmacologice si comportamentale care determină dependența de tutun sunt similare cu cele ale dependenței de heroină și cocaină. Conținutul de nicotină din țigări a crescut încet de-a lungul anilor, iar un studiu a constatat că a existat o creștere medie de 1,6% pe an între anii 1998 și 2005. Acest lucru a fost constatat pentru toate categoriile de piață importante de țigări [7].
Cercetări din 2011 au descoperit că nicotina inhibă modificarea enzim-cromatinei (clasa I și II histon deacetilaze), care crește capacitatea cocainei de a provoca dependență [8].
Istoric
Antichitate
Cea mai veche atestare a consumului de tutun este dată de identificarea în Peru a unui bloc de tutun cu o vechime de 2,5 milioane ani [9] Mayașii de asemenea foloseau frunzele de tutun pentru fumat[10].Toltecii au împrumutat tutunul de la vecinii lor mayași[11].Apar astfel 2 categorii ce utilizează tutunul dar în scopuri diferite: cei de la curtea lui Montezuma care amestecau tutunul cu alte rășini și plante uscate amestecul fiind utilizat în ritualuri. A doua categorie o constituie indienii răspândiți pe valea fluviului Mississippi, venerează pe Manitou care rulează frunzele uscate de tutun sub forma unei țigări "crude cigar"
Europa
"... oameni cu jumătate de lemn ars în mâinile lor, și unele ierburi aromatice pentru fumatul lor, care sunt unele ierburi uscate puse în anumită frunze, de asemenea, uscate, ca acelea pe care băieți le fac în ziua Paștelui de Duhul Sfânt și au aprins o parte din ea, iar prin cealaltă parte, el suge, absoarbe, sau primește în interior fum cu respirația, prin care devine amorțit și aproape beat, și de aceea se spune că nu se simt oboseala. Acestea, muschete așa cum le vom numi, ei numesc tabacos. Știam că spaniolii pe aceasta insulă Española care au fost obișnuiți să-l ia, și fiind mustrat de el, spunându-le că a fost un viciu, ei au răspuns că nu au putut să înceteze utilizarea acestuia. Nu știu ce gust sau beneficii au găsit în el."[13]
[12] Tutunul era deja de mult timp folosit în America iar coloniștii europeni care au ajuns acolo l-au popularizat în Europa. La doze mari, tutun poate deveni halucinogenic;[14] în consecință, americanii nativi nu au folosit intotdeauna droguri recreaționale. În schimb, a fost deseori consumat ca un entheogen, printre unele triburi, acest lucru realizându-se doar prin experiență șamanilor sau a celor ce practicau medicina.În nord-est triburile americane transporta cantități mari de tutun în pungi ca un element comercial ușor de acceptat și ar fuma adesea în pipă (calumet), fie în ceremoniile definite, care au fost considerate sacre, sau pentru a pecetlui o afacere, de exemplu,[15] și le-ar fuma la astfel de ocazii, în toate etapele vieții, chiar și în copilărie.[16] Se credea că tutunul este un dar de la Creator și că fumul de tutun expirat duce gândurile și rugăciunile către cer.[17]
În afară de fumat, tutun a avut o serie de utilizări ca medicament. A fost utilizat pentru dureri de urechi și dinți și, ocazional sub forma de cataplasmă. Fumatul a fost declarat de către indienii din deșert a fi un leac pentru răceli, mai ales în cazul în care tutunul a fost amestecat cu frunze de salvie mică, Salvia Dorrii, sau rădăcina de balsam indian sau tuse , Leptotaenia multifida .Aceasta adăugare s-a dovedit a fi deosebit de bun pentru astm si tuberculoză.[18]
Frunzele nefermentate de tutun au fost adesea mâncate, folosite în clisme, sau băute ca extract suc. Ca utilizarea sa răspândit în culturile occidentale, cu toate acestea, nu a mai fost utilizat în principal pentru scopuri enteogene sau religioase, deși utilizarea religios de tutun este încă obișnuit printre multe altele indigeni e, în special în America. Printre triburile Cree și Ojibway, din Canada și nord-centralul Statelor Unite, este oferit de Creator, cu rugăciune e, și este utilizată în ceremonii de purificare. în tradiționala "pipă a păcii", iar în amestec cu alte plante uscate este purtat sub forma de "punga cu medicamente" și este prezentat ca un cadou. Un cadou de tutun ține de tradiție atunci când solicită un bătrân Ojibway o chestiune de natură spirituală. Datorită naturii sale sacre, abuzul de tutun este grav și inacceptabil de către triburile Algonquian din Canada, deoarece se crede că, dacă o persoana va abuza de plantă, aceasta va abuza la rândul ei persoana cauzându-i acesteia boală.Un mod corect și tradițional nativ de a oferi fum către cele patru puncte cardinale (nord, sud, est, vest), mai degrabă decât ținându-l adânc în plămâni pentru perioade lungi de timp [19]
Rodrigo de Jerez a fost unul dintre spaniolii, membri ai echipajului[20] care a navigat în America pe Santa María, ca parte a expediției Cristofor Columb, "primul voiaj în Oceanul Atlantic în 1492. El este creditat cu a fi primul european fumător[11].Europa de Vest
Spaniolii au introdus tutun în Europa aproximativ în anul 1518, și prin 1523, Diego Columb menționează un negustor de tutun de la Lisabona, în testamentul său, aratând cât de repede s-a dezvoltat traficul. Jean Nicot, ambasadorul Franței la Lisabona, descoperă proprietățile antimigrenoase și trimite frunze de tutun la Paris în 1559 reginei mamă Catherina de Medicis, care devine o consumatoare ferventă a tutunului de prizat. Inițial francezii, spaniolii si portughezi menționează tutunul ca "plantă sacrp", datorită proprietăților sale medicinale valoroase.[13]
În 1571, un botanist spaniol, Nicolás Monardes în cartea sa "Historia medicinal de las cosas que se traen de nuestras Indias Occidentales" (Istoricul medical al lucrurilor noastre din Indiile de Vest)afirmă că tutunul ar putea vindeca 36 de probleme de sănătate[21].
Sir Walter Raleigh, este creditat cu aducerea în 1578 a primului tutun "Virginia" în Europa, acesta denumindu-ltobah. În 1595 Anthony Chute publică Tabaco, în care repetă argumentele anterioare cu privire la beneficiile plantelor și subliniază proprietățile benefice ale fumatului. Importul de tutun în Europa nu a fost fără rezistență și controverse în secolul al 17-lea. Stuart Regele James I a scris o celebră polemică intitulată Counterblaste to tobacco în 1604, în care regele denunță utilizarea de tutun.
Imperiul Otoman
Tutunul ca produs comercial ajunge în Imperiul Otoman în secolul al 16-lea.[22]
Odată ajuns în Imperiul Otoman, a atras atenția medicilor[23] și a devenit un "elixir" frecvent prescris pentru mai multe afectiuni. Deși tutunul a fost prescris inițial ca medicament, mai multe studii au condus la susținerea că fumatul cauzează amețeli, oboseală, tocire a simțurilor, și un gust/miros în gură.[24]
În 1682, juristul Abd al-Ghani al-Nabulsi (Damasc) a declarat: "Tutunul a devenit extrem de celebru în toate țările Islamului ... Oameni de toate felurile s-au folosit si s-au dedicat să-l ... Am văzut chiar și copii mici de aproximativ cinci ani care fumează "[25]
În 1750, orășenii din Damasc au observat "un număr mai mare de femei decât bărbați, stau de-a lungul malul râului Barada. Ele mănâncă și beau, și beau cafea și tutun de fumat la fel ca bărbații. "[25]
Statele Unite
.jpg)
În 1609, John Rolfe ajunge la Jamestown, Virginia, fiind creditat ca primul decantor-a ridicat cu succes tutunul [26] pentru uz comercial.El introduce Nicotiana tabacum, în cultură din semințe aduse cu el, din Insulele Bermude. De-a lungul secolelor 17 și 18, tutun a continuat să fie principala cultură a Virginiei, precum și a Carolinelor. Depozite mari de tutun au umplut zone de lângă pontoane de orașe noi, înfloritoare, cum ar fi Dumfries pe Potomac, Richmond și Manchester.
Japonia
În Japonia frunzele de tutun au fost introduse de către marinarii portughezi în anul 1542.
- Tutunul a ajuns pentru prima dată în Japonia odată cu sosirea portughezilor pe insula Tanegashima din sudul Japoniei, în 1542. La scurt timp după aceea, semințele de tutun au început să fie cultivate în întreaga țară.
- Conform legendei, marinarul portughez Mendez Pinto ar fi fost cel care a introdus tutunul în Japonia, oferind niște semințe shogunului localei insule Tanegashima, Tanegashima Tokitaka. Acesta a fost impresionat de frunzele uscate de tutun și le-a numit „frunze tanegashima”.
- Cultivarea și fumatul tutunului s-a răspândit rapid în rândul clasei samurai din Japonia. Ei foloseau lulele lungi numite „kiseru” pentru a fuma tutunul. Fumatul tutunului a devenit un obicei zilnic al clasei conducătoare.
- Până la începutul secolului al XVII-lea, consumul de tutun s-a răspândit în toată țara, în timp ce producția internă de tutun a început să crească. S-au dezvoltat soiuri unice de tutun din frunze mari, cum ar fi „Shiranui”, „Kinko Koku” și „Ako”.
- Monopolul asupra comerțului cu tutun în Japonia era deținut în acea perioadă de către compania comercială olandeză VOC. Japonezii au învățat tehnicile de prelucrare și consum al tutunului de la comercianții olandezi.
- Astăzi, tutunul continuă să fie cultivat și consumat la scară largă în Japonia, deși ratele de fumat au scăzut constant în ultimele decenii. Industria tutunului rămâne o parte importantă a economiei și culturii japoneze. [27]
Australia
Tutun de fumat a ajuns pe malurile australiene, fiind introdus de comunitățile indigene nordice care veneau in contact cu pescarii indonezieni . Modele britanice ale consumului de tutun au fost transportate în Australia împreună cu noi coloniști în 1788 și în anii de după colonizare, comportamentul fumat britanic a fost rapid adoptat de către persoanele indigene.
Caracterizare
Biosinteza
Nicotina provine de la aminoacidul ornitină, prin condensări aldolice, sau de tip Mannich în prezența enzimelor ce au drept coenzima piridoxal fosfat.Reacția presupune 2 faze:
- Formarea de putrescină de la L-ornitina.Intremediar se obține o bază Schiff, care prin hidroliză formează putrescina.
- Sinteza a cationului N-metilpirolinium din putrescină.Reacția are ca intermediar 4 aminobutanalul.
- Reducere 1,4 a inelului piridinic a acidului nicotinic in prezența NADH.
- Decarboxilare a 1,4-dihidro la 1,2-dihidropiridină.
Proprietăți fizico chimice
Lichid incolor este antrenabil cu vapori de apă. Pe această proprietate se bazează izolarea sa din produsul vegetal în prealabil alcalinizat. Distilarea are loc sub vid pentru evitarea descompunerii. În contact cu aerul ea se brunifică. Este miscibilă cu apa în orice proporție la 60 0C și 120 0C.. Este o bază terțiară levogiră, dar sărurile ei sunt dextrogire. La temperaturi înalte pe catalizator de platină ea poate fi redusă. Atomul de azot din nucleul pirolidinic are un caracter bazic mult mai pronunțat față de azotul din nucleul piridinic, inel care face parte dintr-o structură de tip aromatic. Din această cauză constantele de aciditate au valori foarte diferite:
- Ka1 caracteristică N+ piridinic are valoare între 3,49-3,22
- Ka2 caracteristică N+ pirolidinic are valoarea între 8,19-8,11 [29]
Farmacologie
Fiecare subunitate este formata din 4 segmente transmembranare numerotate M1, M2, M3,M4, unite intre ele prin anse celulare astfel:M1-M2, M2-M3 si M3-M4]]
În doze mari nicotina este depolarizant al receptorilor nicotinici. În plus determină creșterea nivelului dopaminei la nivelul creierului, datorită inhibării MAO (monoamin oxidaza) responsabilă de metabolismul dopaminei. Însă nu se știe sigur dacă această acțiune poate fi atribuită nicotinei sau altor componenți din fumul de țigară (hidrocarburile cancerigene). Această acțiune asupra dopaminei este similară celei produse de cocaină și heroină, un motiv pentru care persoanele fumează: menținerea unui nivel ridicat de dopamină, care determină senzația de plăcere. Nicotina și metaboliții săi au fost studiați pentru tratamentul unor boli cum ar fi: boala Parkinson, maladia Alzheimer. Cercetările actuale au demonstrat faptul că nicotina singură nu poate dezvolta cancerul, nu are proprietăți mutagene dar determinând creșterea activității acetilcolinei, duce la împiedicarea apopotozei (moarte programată) prin care organismul își distruge anumite tipuri de celule, moarte sau mutante, astfel acestea dezvoltându-se în celule cancerigene. Excitant al sistemului nervos central și periferic, în doze mici inhibând toți ganglionii simpatici. Induce voma, scade diureza și crește activitatea motorie intestinală. Asupra sistemului cardiac produce tahicardie, creșterea presiunii sanguine și determină creșterea glucozei în sânge.
Farmacocinetică
Pătrunde în organism pe cale digestivă, respiratorie și cutanată.
| Sursa | Conținut (mg) |
|---|---|
| țigaretă | 13-32 |
| muc de țigaretă | 5-7 |
| țigară de foi | 15-40 |
| 1 gr tutun prizat | 12-16 |
| 1 plasture cu nicotină | 8.3-11 |
| 1 spray nazal cu nicotină | 0.5 |
Pe măsură ce nicotina intră în organism este rapid distribuită în sânge, de asemenea poate trece bariera hematoencefalică. Metabolizarea are loc în ficat (circa 80-90%). Eliminarea are loc mai ales pe cale renală, dar se poate elimina mai ales prin plămâni, transpirație, lapte, salivă; circa 10-20% se elimină ca atare, restul sub formă de metaboliți (cotinină, ca atare sau hidroxilată). Urina acidă accelerează eliminarea, în cazul urinei alcaline are loc o reabsorbție la nivelul rinichiului. Acționează la nivelul receptorilor colinergici centrali la numai 7 secunde de la inhalare, se pare că influențează în mod pozitiv activitatea adrenalinei.

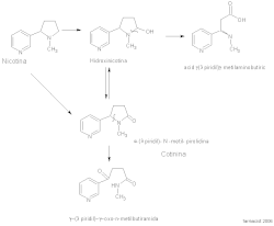
Cotinina este un metabolit al nicotinei poate fi utilizată drept indicator al expunerii unor persoane datorită faptului că rămâne în sânge mai mult de 24 de ore. Nu se acumulează în organism datorită faptului că se metabolizează repede având timpul de înjumătățire de circa 2 ore; se folosește pentru a determina tipul de receptori.
Toxicologie
Toxicocinetica

Este un toxic puternic și cu acțiune rapidă; inițial se mărește activitatea ganglionară, iar în faza următoare se produce o inhibare a ganglionilor, când apare acțiunea depresivă și paralizantă.Intoxicațiile pot avea diferite cauze:
- accidentale (atunci când se folosește pentru dăunători)
- profesionale la persoanele care vin în contact cu soluțiile de nicotină
- intenționate 1850 afacerea Bocarme, prilej cu care toxicologul belgian Stas pune la bază metoda extracției alcaloizilor din cadavre, metodă care cu modificările aduse de Otto sio Ogier, este folosită și astăzi.
Poate da naștere la:
- Intoxicație supraacută – de obicei accidentală, care se produce la ingerarea accidentală, moartea survine instantaneu, prin convulsii puternice
- Intoxicația acută care se produce la ingerare. Se manifestă prin:
- tulburări digestive
- tulburări nervoase: cefalee, paloare, convulsii cu mișcări musculare necontrolate, transpirație abundentă, delir asfixie
- tulburări cardiace: puls neregulat, HTA, respirația se îngreunează, poate surveni moartea prin sincopa cardiacă, sau prin paralizia mușchilor respiratori și a centrului respirator bulbar.
- Intoxicația cronică este foarte întâlnită în rândul fumătorilor: la fumătorii începători se observă tulburări nervoase și vasomotorii, palpitații, tulburări digestive, grețuri, tulburări care pot duce in final la toxicomanie (nicotinism)
Fumatul suprimă senzația de foame, la fumătorii cronici 90-98% din nicotina inhalată este reținută în plămâni și constituie alături de gudroanele rezultate din ardere, una din cauzele principale de creștere a cancerului pulmonar.
| Organul sau sistemul afectat | Tipul bolii |
|---|---|
| Aparat respirator | cancer pulmonar, cancer laringeal, reducerea capacității respiratorii, pneumonie, bronșită cronică, embolie pulmonară, astm |
| Aparat cardiovascular | puls accelerat, aritmie cardiacă, HTA, circulație sanguină proastă, criză cardiacă, angor pectoris, arterită, flebite |
| ORL | laringită, faringită, sinuzită, alergii respiratorii, cancer esofagian, cancer la gât |
| Creier și Sistem nervos | embolie cerebrală |
| Sistem digestiv | cancerul limbii, cancer gastric, gingivită, distrugerea enzimelor digestive, hiperaciditate stomacală, gastrită, ulcer duodenal, ulcer stomacal, cancer de colon |
| Sistem excretor | cancer renal, cancer vezical, cancer de prostată |
Efecte negative de scurtă durată:
- creșterea ritmului cardiac, in medie 20-30bătăi /min
- creșterea tensiunii arteriale
- lezarea mucoaselor buzelor, limbii și cerului gurii.
- îngălbenirea dinților
- iritarea mucoasei naso-faringiene, cu diminuarea sau modificarea selectivă a mirosului
- iritarea laringelui
- iritarea ochilor
Dependența de nicotină
Nicotina produce dependența de 6-8 ori mai mare decît alcoolul, dar la fel de mare ca și cocaina. 95-100% din fumători sunt dependenți. Nicotina, indiferent de calea de administrare, pătrunde în organism prin difuziune, fumul inhalat ajunge în alveolele pulmonare și toți constituenții sunt absorbiți.80 % din nicotină este distrusă la nivel hepatic, restul de 20 % se fixează pe receptorii nicotinici prin intermediul cărora exercită efectele sale multiple. Pentru a măsura dependența de nicotină se utilizează testul Fagerstrom; testul are avantajul că arată o corelare exactă între răspunsurile testului și determinările de cotinină plasmatică și urinară.
Mecanismele dependenței
Se disting trei tipuri de dependență de nicotină:
- Dependența comportamentală și socială care se asociază cu anumite momente ale zilei de lucru: așa numita „țigară la cafea”
- Dependența psihică corespunde nevoii menținerii beneficiilor pe care le aduce nicotina fumătorului: senzația de plăcere, descărcare, satisfacție, stimulare intelectuală, stimulare generală.Nicotina este singurul drog care stimulează funcțiile cognitive pe timp scurt, fumătorul fiind tentat în mod inconștient a începe o nouă țigară pentru a regăsi amintirea acelor senzații. Pentru a învinge această dependență sunt necesare activități compensatorii: mișcarea în aer liber, exerciții de relaxare, suptul anumitor produse .
- Dependența fizică se instalează numai după cîțiva ani și nu este sistematică pentru toți fumătorii. Fumătorii cronici fumează în primul rînd pentru a evita acel sentiment de lipsă, care se manifestă prin nervozitate, irascibilitate, tulburări ale concentrării. Dependența fizică este ușor de tratat prin intermediul terapiei de substituție: plasturele cu nicotină, gumele de mestecat pe baza de nicotină.
Prin combinarea celor 3 tipuri de dependență rezultă trei grupe de fumători:
- Fumătorul cu dependență pur comportamentală, acest tip de fumător consumă sub 5 țigări pe zi, stoparea fumatului și reluarea este fără efort.
- Fumătorul cu dependență comportamentală și psihică care fumează pentru a regăsi efectele psihoactive ale nicotinei. Consumă în general 20 sau mai multe țigări pe zi (funcție si de împrejurări)
- Fumătorul cu dependență fizică asociata unei dependențe comportamentale, fumează mai mult de 20 țigări pe zi (consum constant)
Dependența de nicotină trebuie tratată ca o boală cronică, foarte mulți pacienți eșuează de la prima tentativă de dezobișnuință, trecând prin perioade de recădere și de remisie. Pentru a explica dependența de nicotină trebuie avut în vedere foarte mulți factori: genetici, farmacologici, psihologici, de mediu. Sevrajul este fenomenul care apare la întreruperea bruscă a prizei de drog cu toate consecințele care decurg de aici. Nicotina este un drog care cauzează dependența fizică și simptome neplăcute de sevraj atunci cînd este abandonată brusc; astfel apar:
- nevoia presantă de a fuma
- anxietate
- iritabilitate, neliniște, enervare
- deprimare sau depresie
- creșterea apetitului
Un procent de 20% dintre fumători doresc să renunțe la fumat, dar nu o pot face ușor; anumite tratamente antitabagice pot da rezultate la unele persoane, în timp ce la unele nu. Nu există un medicament care singur să poată suprima pofta de a fuma, dar există substituenți nicotinici care ajuta eliminarea fumatului în timpul fazei inițiale de sevraj.
Medicația antisevragică
Substituenți nicotinici:
- plasturi (sistem transdermic) care este impregnat cu nicotină, care este cedată cu o anumită viteză, astfel încît să asigure o concentrație constantă pe parcursul a 24 h.
- guma de mestecat (chewing gum), reduce simptomele de sevraj și ușurează procesul de întrerupere a fumatului
- spray nazal cu nicotină
- inhalator bucal de nicotină
- țigareta electronică
- snuss suedez
Substituenți medicamentoși:
- Bupropionă (Zyban), un medicament nou folosit pentru combaterea dependenței de nicotină; acționează la nivelul neurotransmițătorilor implicați in dependența de nicotină, reduce semnificativ simptomele datorate sindromului de sevraj.
- Nortriptilina este eficace în întreruperea fumatului; avantajul este costul cel mai scăzut dintre tratamente
- Clonidina, deși cunoscută ca antihipertensiv, s-au constatat rezultate pozitive la tratarea fumatului. Are dezavantajul reacțiilor adverse pronunțate.
- Rimonabant este o moleculă nouă, care încă necesită confirmarea rezultatelor pe grupe mai mari.
- Selegilină, deși utilizat în tratamentul bolii Parkinson, se pare că reduce nevoia urgentă de fumat.
- Vareniclină
- Citizină, lobelină - alcaloizi naturali
Bupropiona (Zyban)
Nortriptilină
Clonidina
Rimonabant
Selegilina
Alternativa - medicamentele naturiste
- Pycnogenol un produs natural, extras din coaja pinului maritim (Pinus maritima), cu un conținut bogat în flavonoide, acționează împotriva radicalilor liberi care accelerează procesul de îmbătrînire cu favorizarea cancerului, oferă protecție împotriva infarctului de miocard și accidentului vascular.
- Antitabac Plant este un produs lichid ce conține extracte de Caladium seguinum și Phytolacca decandra. Extractul de Caladium seguinum se adresează tulburărilor provocate de fumat, tuse, migrenele,tulburările oculare, în tim ce extractul de Phytolacca reduce dorința de fumat.
Referințe
- 1 2 Global Substance Registration System, accesat în
- 1 2 Nicotine (în engleză), ChemIDplus, accesat în
- ↑ CAS Common Chemistry, accesat în
- ↑ IUPHAR/BPS Guide to PHARMACOLOGY, accesat în
- 1 2 http://www.cdc.gov/niosh/npg/npgd0446.html Lipsește sau este vid:
|title=(ajutor) - ↑ Pauling, op. cit., p. 698
- ↑ Connolly, G. N; Alpert, H. R; Wayne, G. F; Koh, H (). „Trends in nicotine yield in smoke and its relationship with design characteristics among popular US cigarette brands, 1997–2005”. Tobacco Control. 16 (5): e5. doi:10.1136/tc.2006.019695. PMC 2598548
. PMID 17897974. - ↑ „sciencemag.org - Epigenetics of Nicotine: Another Nail in the Coughing”. Arhivat din original la . Accesat în .
- ↑ Peruvian diggers find 2.5 million-year-old tobacco
- ↑ First physical evidence of tobacco in Mayan container (în engleză), ScienceDaily
- 1 2 http://www.tobacco.org/History/Tobacco_History.html
- 1 2 History of tobacco - Wikipedia, the free encyclopedia
- 1 2 Handbook of American Indians North of Mexico'' p. 768
- ↑ This Is Your Country on Drugs: The Secret History of Getting High in America, Ryan Grim, 2009.
- ↑ eg. Heckewelder, History, Manners and Customs of the Indian Nations who Once Inhabited Pennsylvania, p. 149 ff.
- ↑ "They smoke with excessive eagerness ... men, women, girls and boys, all find their keenest pleasure in this way." - Dièreville describing the Mi'kmaq, c. 1699 in Port Royal.
- ↑ Tobacco: A Study of Its Consumption in the United States, Jack Jacob Gottsegen, 1940, p. 107.
- ↑ California Natural History Guides: 10. Early Uses of California Plant, By Edward K. Balls University of California Press, 1962 University of California Press. Arhivat în , la Wayback Machine.
- ↑ Aboriginal Youth Network / Health Canada, "A Tribe called Quit"
- ↑ „Christopher Columbus: List of Officers and Sailors in the First Voyage of Columbus”. Arhivat din original la . Accesat în .
- ↑ „The History of Tobacco”. Arhivat din original la . Accesat în .
- ↑ Grehan, p.1
- ↑ Grehan, p.2
- ↑ Grehan, p.7
- 1 2 Grehan, p.3
- ↑ „Jamestown, Virginia: An Overview”. Arhivat din original la . Accesat în .
- ↑ „Introducerea tutunului in Japonia”.
- ↑ Alan Crozier; Mike N. Clifford; Hiroshi Ashihara (), Plant Secondary Metabolites: Occurrence, Structure and Role in the Human Diet (în engleză), Wiley, p. 112
- ↑ J.W. Gorrod; P. Jacob III (), Analytical Determination of Nicotine and Related Compounds and their Metabolites (în engleză), Elsevier, p. 155
Bibliografie
- Pârvu Constantin - Universul Plantelor, Editura ASAB 2006
- Iovu Mircea, Chimia Organică, Editura Monitorul Oficial 2005, Edita V
- Fulga Ion, Farmacologie, Ed Medicala 2006
- Linus Pauling, Chimie generală, Editura Științifică, București, 1972 (traducere din limba engleză)
- http://resources.metapress.com/pdf-preview.axd?code=k54n570015k18281&size=largest
- http://books.google.ro/books?id=-gyynUUv2sAC&pg=PA155&lpg=PA155&dq=nicotine+rotation&source=bl&ots=2HHUm1nYV8&sig=PVi_RZdXJHQUbJCGp-VN8xOaBco&hl=ro&sa=X&ei=8ip3T-OtEMaj4gTTldTSDg&ved=0CEgQ6AEwBA#v=onepage&q=nicotine%20rotation&f=false
- http://www.arsd.ro/nr_1_2001.html Arhivat în , la Wayback Machine.
- http://www.asociatiafumatorilor.ro/articole/receptorii-nicotinici-ca-tinte-cns-pentru-boala-parkinson
- http://www.neuroscience.ro/cursuri/NS2-2008.pdf Arhivat în , la Wayback Machine.
| Alcaloizi pirolidinici |
|---|
|
Higrina Cuskhigrina Stachidrina Nicotină |
| Stimulenți | |||||
|---|---|---|---|---|---|
|

