Tioconazol
Sulconazolul este un antifungic derivat de imidazol, fiind utilizat în tratamentul unor micoze vaginale, precum candidozele vulvo-vaginale.[9][10] Calea de administrare disponibilă este cea vaginală (creme, ovule).[9][10]
| Tioconazol | |
![]() | |
| Identificare | |
|---|---|
| Număr CAS | 65899-73-2[1][2] |
| PubChem | 5482[3] |
| DrugBank | 01007[4] |
| ChemSpider | 5282[5] |
| UNII | S57Y5X1117[1] |
| KEGG | C08082[6] |
| ChEMBL | CHEMBL1200438[7] |
| Cod ATC | G01AF08[8] |
| SMILES | |
| InChI | InChI=InChI=1S/C16H13Cl3N2OS/c17-12-1-2-13(14(18)7-12)15(8-21-5-4-20-10-21)22-9-11-3-6-23-16(11)19/h1-7,10,15H,8-9H2[3] |
| Date chimice | |
| Formulă | C₁₆H₁₃Cl₃N₂OS[3] |
| Masă molară | 385,981 u.a.m.[3] |
Molecula a fost patentată în 1975 și a fost aprobată pentru uz medical în anul 1982.[11]
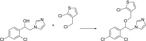
Sinteză

Sinteza tioconazolului:[12]
Note
- tioconazole (în engleză), Global Substance Registration System, accesat în
- CAS Common Chemistry, accesat în
- „Tioconazol”, tioconazole (în engleză), PubChem, accesat în
- Tioconazole (în engleză), DrugBank, accesat în
- Tioconazole (în engleză), ChemSpider, accesat în
- 1-{2-[(2-chloro-3-thienyl)methoxy]-2-(2,4-dichlorophenyl)ethyl}imidazole (în engleză), ChEBI, accesat în
- TIOCONAZOLE (în engleză), ChEMBL, accesat în
- Tioconazole (în engleză), DrugBank,
- „Tioconazole”. The American Society of Health-System Pharmacists. Accesat în .
- „Tioconazole”. DrugBank - Canadian Institutes of Health Research. Accesat în .
- Fischer, Jnos; Ganellin, C. Robin (). Analogue-based Drug Discovery (în engleză). John Wiley & Sons. p. 503. ISBN 9783527607495.
- G. E. Gymer, BE patent 841309; idem, U.S. Patent 4062966 (1976, 1977 ambele aparțin Pfizer).
This article is issued from Wikipedia. The text is licensed under Creative Commons - Attribution - Sharealike. Additional terms may apply for the media files.
