Teorema numerelor prime
Teorema numerelor prime descrie distribuția asimptotică a numerelor prime.
În linii mari, teorema precizează că, dacă N este un număr natural suficient de mare, probabilitatea ca un alt număr natural, din vecinătatea lui N să fie prim, este , unde ln N este logaritmul natural al lui N. De exemplu, dacă N=10 000, aproximativ unul din 9 sunt prime, iar dacă N=1.000.000.000, numai unul din 21 numere (din vecinătatea lui N) sunt prime.
Enunțul teoremei

Se definește „funcția număr prim”
,
unde iar este mulțimea numerelor prime.
(Simbolul reprezintă numărul de elemente sau cardinalul mulțimii M. )
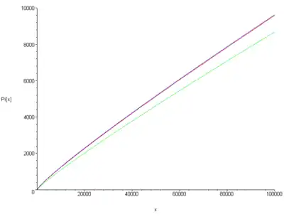
Așadar, definește numărul numerelor prime mai mici decât x.
Teorema numerelor prime afirmă că:
- .
Sau, cu alte cuvinte, funcțiile și sunt asimptotic echivalente.
Istoric
Teorema numerelor prime demonstrată pentru prima dată de matematicianul francez Jacques Hadamard, în 1896. Teorema a fost demonstrată independent, în același an, și de Charles Jean de la Vallée-Poussin(en)[traduceți].
Tabel cu π(x), x / ln x și Li(x)
x π(x)[1] π(x) - x / lnx Li(x) - π(x)[2] x / π(x) 10 4 -0,3 0,921 2,2 2,500 102 25 3,3 1,151 5,1 4,000 103 168 23 1,161 10 5,952 104 1.229 143 1,132 17 8,137 105 9.592 906 1,104 38 10,425 106 78.498 6.116 1,084 130 12,740 107 664.579 44.158 1,071 339 15,047 108 5.761.455 332.774 1,061 754 17,357 109 50.847.534 2.592.592 1,054 1.701 19,667 1010 455.052.511 20.758.029 1,048 3.104 21,975
Note
Bibliografie
- Ingham, A.E. - The Distribution of Prime Numbers, Cambridge University, 1990
- Hardy, G.H. - An Introduction to the Theory of Numbers, Oxford University Press, Oxford, 1979