Sfingozină
Sfingozina (2-amino-4-trans-octadecen-1,3-diol) este un compus organic format dintr-o catenă nesaturată, de tip diol și amină primară, fiind un constituent al sfingolipidelor (de exemplu, în ceramide).[2]
| Sfingozină | |
![]() | |
| Identificare | |
|---|---|
| Număr CAS | 123-78-4 |
| ChEMBL | CHEMBL67166 |
| PubChem CID | 5280335 |
| Formulă chimică | C₁₈H₃₇NO₂[1] |
| Masă molară | 299,282 u.a.m.[1] |
| Punct de topire | 67 °C |
| Sunt folosite unitățile SI și condițiile de temperatură și presiune normale dacă nu s-a specificat altfel. | |
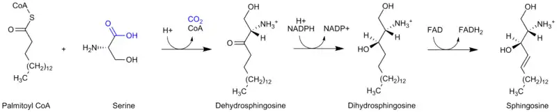
Biosinteză
Sfingozina este biosintetizată din palmitoil-CoA și serină, în urma unui proces de condensare care formează dehidrosfingozină. Aceasta este redusă de NADPH la dihidrosfingozină (sphinganină), care este oxidată de FAD la sfingozină:

Note
- „Sfingozină”, sphingosine (în engleză), PubChem, accesat în
- Carter, Herbert E.; Glick, Francis J.; Norris, William P.; Phillips, George E. (). „Biochemistry of the sphingolipides. III. Structure of sphingosine”. J. Biol. Chem. 170 (1): 285–295. doi:10.1016/S0021-9258(17)34955-4
.
This article is issued from Wikipedia. The text is licensed under Creative Commons - Attribution - Sharealike. Additional terms may apply for the media files.
