Reducere Birch
Reacția Birch este o reacție organică utilizată în special în sinteza organică. A fost denumită după chimistul australian Arthur Birch, care a descoperit reacția în anul 1944,[1][2][3][4][5][6] continuând lucrările început de Wooster și Godfrey, care au publicat primele rezultate în 1937.[7] Reacția este utilizată pentru conversia compușilor aromatici derivați de benzen în 1,4-ciclohexadiene, fiind o reacție de reducere organică. Se realizează cu amoniac lichid și sodiu, litiu sau potasiu și un alcool, precum etanolul sau terț-butanolul.
- Reducerea Birch a benzenului:
Reducerea Birch
- Reducerea Birch a naftalinei:[8]
Reducerea Birch a naftalinei
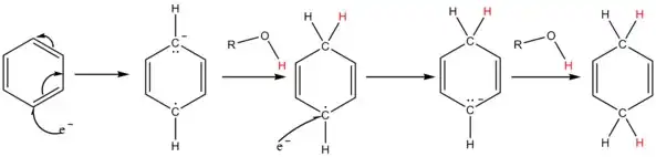
Mecanism de reacție
Soluția de sodiu în amoniac lichid consistă în specii chimice de tipul [Na(NH3)x]+ e−, care prezintă o culoare albastră intensă. Electronii solvatați se adiționează la nucleul aromatic, când se obține un anion radical. Alcoolul adăugat în mediul de reacție oferă un proton anionului radical, dar și carbanionului din final (pentru majoritatea substratelor, amoniacul nu oferă un mediu suficient de acid).[13]


Note
- Birch, A. J. (). „Reduction by dissolving metals. Part I”. J. Chem. Soc.: 430. doi:10.1039/JR9440000430.
- Birch, A. J. (). „Reduction by dissolving metals. Part II”. J. Chem. Soc.: 809. doi:10.1039/jr9450000809.
- Birch, A. J. (). „Reduction by dissolving metals. Part III”. J. Chem. Soc.: 593. doi:10.1039/jr9460000593.
- Birch, A. J. (). „Reduction by dissolving metals. Part IV”. J. Chem. Soc.: 102. doi:10.1039/jr9470000102.
- Birch, Arthur J. (). „Reduction by dissolving metals. Part V”. J. Chem. Soc.: 1642. doi:10.1039/jr9470001642.
- Birch, A. J.; Mukherji, S. M. (). „Reduction by dissolving metals. Part VI. Some applications in synthesis”. J. Chem. Soc.: 2531. doi:10.1039/jr9490002531.
- Wooster, C. B.; Godfrey, K. L. (). „Mechanism of the Reduction of Unsaturated Compounds with Alkali Metals and Water”. Journal of the American Chemical Society. 59 (3): 596. doi:10.1021/ja01282a504.
- Vogel, E.; Klug, W.; Breuer, A. (), „1,6-Methano[10]annulene”, Org. Synth.; Collective Volume, 6
- Birch, A. J.; Smith, H. (). „Reduction by metal–amine solutions: applications in synthesis and determination of structure”. Quart. Rev. (review). 12 (1): 17. doi:10.1039/qr9581200017.
- Caine, D. (). „Reduction and Related Reactions of α,β-Unsaturated Carbonyl Compounds with Metals in Liquid Ammonia”. Org. React. (review). 23: 1–258. doi:10.1002/0471264180.or023.01. ISBN 0471264180.
- Rabideau, P. W.; Marcinow, Z. (). „The Birch Reduction of Aromatic Compounds”. Org. React. (review). 42: 1–334. doi:10.1002/0471264180.or042.01. ISBN 0471264180.
- Mander, L. N. (). „Partial Reduction of Aromatic Rings by Dissolving Metals and by Other Methods”. Compr. Org. Synth. (review). 8: 489–521. doi:10.1016/B978-0-08-052349-1.00237-7. ISBN 978-0-08-052349-1.
- March, Jerry (1985), Advanced Organic Chemistry: Reactions, Mechanisms, and Structure (ed. 3), New York: Wiley, ISBN 0-471-85472-7