Reacție Vilsmeier-Haack
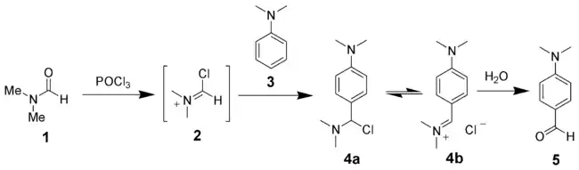
Reacția Vilsmeier-Haack (denumită și simplu reacție Vilsmeier) este o reacție organică a unei amide substituite (1) cu oxiclorura de fosfor (POCl3) și cu o arenă cu substituenți grupe donatoare de electroni (3). În urma acesteia se obține o aldehidă sau cetonă aromatică (5). Reacția a fost denumită după Anton Vilsmeier și Albrecht Haack.[1][2][3]

Mecanism de reacție
În prima etapă a mecanismului are loc reacția dintre amida substituită și oxiclorura de fosfor, când se obține un ion intermediar cloroiminiu (2), acesta fiind reactivul Vilsmeier. Urmează formarea unui ion iminiu (4b), care este hidrolizat la cetona sau la aldehida corespunzătoare.[4]
The Vilsmeier–Haack reaction
Note
- Vilsmeier, Anton; Haack, Albrecht (). „Über die Einwirkung von Halogenphosphor auf Alkyl-formanilide. Eine neue Methode zur Darstellung sekundärer und tertiärer p-Alkylamino-benzaldehyde” [Despre reacția halogenurilor de fosfor cu achilformanilidele. O nouă metodă pentru prepararea p-alchilaminobenzadehidelor secundare și terțiare]. Berichte der Deutschen Chemischen Gesellschaft zu Berlin. 60: 119–122. doi:10.1002/cber.19270600118.
- Meth-Cohn, O.; Stanforth, S. P. (). „The Vilsmeier–Haack Reaction (Review)”. Compr. Org. Synth. 2: 777–794. doi:10.1016/B978-0-08-052349-1.00049-4.
- Campaigne, E.; Archer, W. L., „Formylation of dimethylaniline”, Org. Synth., 33: 27, doi:10.15227/orgsyn.033.0027; Collective Volume, 4, p. 331
- Jones, G.; Stanforth, S. P. (). „The Vilsmeier Reaction of Non-Aromatic Compounds”. Org. React. 56 (2): 355–686. doi:10.1002/0471264180.or056.02.
Lectură suplimentară
- Mallegol, T.; Gmouh, S.; Aït Amer Meziane, M.; Blanchard-Desce, M.; Mongin, O. (). „Practical and Efficient Synthesis of Tris(4-formylphenyl)amine, a Key Building Block in Materials Chemistry”. Synthesis. 2005: 1771–1774. doi:10.1055/s-2005-865336.
- Bélanger, G.; Larouche-Gauthier, R.; Ménard, F.; Nantel, M.; Barabé, F. (). „Addition of Tethered Nonaromatic Carbon Nucleophiles to Chemoselectively Activated Amides”. Org. Lett. 7 (20): 4431. doi:10.1021/ol0516519.
This article is issued from Wikipedia. The text is licensed under Creative Commons - Attribution - Sharealike. Additional terms may apply for the media files.