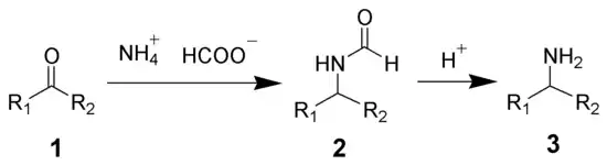
Reacție Leuckart
Reacția Leuckart (de asemenea cunoscută și ca reacția Leuckart-Wallach) este o reacție chimică în urma căreia aldehidele și cetonele sunt transformate în amine, printr-o aminare reductivă la temperatură crescută.[1][2] Reacția a fost denumită după chimiștii germani Rudolf Leuckart și Otto Wallach, și sunt posibile două variante: una dintre acestea utilizează formiatul de amoniu, iar cealaltă utilizează formamida ca agent reducător.[3] Temperatura necesară desfășurării reacției este de 120 - 130 °C, iar dacă se folosește formamida, atunci temperatura poate fi crescută peste 165 °C.[1] Reacția decurge cel mai bine când se utilizează formiatul de amoniu.

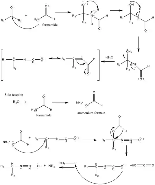
Mecanism de reacție
Varianta cu formiat de amoniu

Într-o primă etapă, formiatul de amoniu disociază la acid formic și amoniac. Molecula de amoniac va produce un atac nucleofil asupra atomului de carbon carbonilic.[3] Oxigenul deprotonează hidrogenul legat de azot, formând o grupă hidroxil. Aceasta este protonată de către acidul formic, ceea ce favorizează eliminarea sa sub formă de moleculă de apă, împreună cu electronii de legătură. Se formează un carbocation care se stabilizează prin rezonanță, care va ataca atomul de hidrogen din acidul formic deprotonat în etapa precedentă, formând dioxid de carbon și amina corespunzătoare.
Varianta cu formamidă

În prima etapă are loc atacul nucleofil al formamidei asupra carbonului carbonilic.[3] Oxigenul este protonat cu hidrogenul legat de azot, ceea ce favorizează eliminarea unei molecule de apă. Se formează un N-formil-derivat care se stabilizează prin rezonanță. Molecula de apă hidrolizează formamida la formiat de amoniu, care acționează ca agent de reducere al N-formil-derivatului. După eliminarea dioxidului de carbon, are loc adiția unui ion amoniu formând imina și eliberând amoniac. Imina este hidrolizată la amină, conform schemei:

Note
- Alexander, Elliot; Ruth Bowman Wildman (). „Studies on the Mechanism of the Leuckart Reaction”. Journal of the American Chemical Society. 70: 1187–1189. doi:10.1021/ja01183a091.
- Ingersoll, A. W. (). „α-Phenylethylamine”. Organic Syntheses. 17: 76. doi:10.15227/orgsyn.017.0076.
- Pollard, C.B.; David C. Young (). „The Mechanism of the Leuckart Reaction”. Journal of Organic Chemistry. 16: 661–672. doi:10.1021/jo01145a001.