Reacție Kolbe-Schmitt
Reacția Kolbe-Schmitt (denumită după Hermann Kolbe și Rudolf Schmitt) este o reacție organică de carboxilare care se realizează prin tratarea fenoxidului de sodiu (sarea sodică a fenolului) cu dioxid de carbon în condiții de presiune ridicată și la temperatură (100 atm, 125 °C), urmând ca produsul de reacție să fie tratat cu acid sulfuric. Produsul final este un hidroxi-acid aromatic, cunoscut sub numele de acid salicilic, și este un precursor al aspirinei.[1][2][3][4]

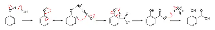
Mecanism de reacție
Reacția Kolbe-Schmitt are loc după un mecanism de adiție nucleofilă a unui fenoxid, de obicei fenoxidul de sodiu (NaOC6H5) la dioxidul de carbon, cu obținerea ionului salicilat. Etapa finală este reprezentată de reacția salicilatului cu un acid, cu formarea de acid salicilic.

Aplicații
Dacă se folosește în schimb hidroxid de potasiu, se poate obține acidul p-hidroxibenzoic, un precursor important pentru obținerea de parabeni, compuși care au utilizări în industria cosmetică.
În mod similar, această metodă poate fi folosită pentru obținerea industrială a acidului 3-hidroxi-2-naftoic. Regiochimia acestei reacții de carboxilarea este favorizată de temperatură.[5]
Vezi și
Referințe
- Hermann Kolbe (). „Ueber Synthese der Salicylsäure” [On the synthesis of salicylic acid]. Annalen der Chemie und Pharmacie. 113 (1): 125–127. doi:10.1002/jlac.18601130120.
- R. Schmitt (). „Beitrag zur Kenntniss der Kolbe'schen Salicylsäure Synthese” [Contribution to [our] knowledge of Kolbe's synthesis of salicylic acid]. Journal für Praktische Chemie. 2nd series. 31 (1): 397–411. doi:10.1002/prac.18850310130.
- A. S. Lindsey and H. Jeskey (). „The Kolbe-Schmitt Reaction”. Chem. Rev. 57 (4): 583–620. doi:10.1021/cr50016a001. (Review)
- R. T. Morrison and R. N. Boyd (). Organic Chemistry (ed. 4th). Allyn and Bacon. p. 976-7. ISBN 0-205-05838-8.
- Gerald Booth (). „Naphthalene Derivatives”. Ullmann's Encyclopedia of Industrial Chemistry. Weinheim: Wiley-VCH. doi:10.1002/14356007.a17_009..
Legături externe
- traducerea în engleză Arhivat în , la Wayback Machine. a articolului lui Kolbe din Annalen der Chemie und Pharmacie în care se descrie descoperirea acestei reacții ('On the syntheses of salicylic acid'; titlu original: „Ueber Synthese der Salicylsäure”.)
- Animație care prezintă mecanismul de reacție