Reacție Blaise
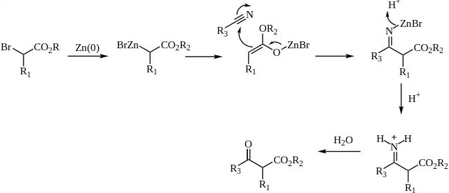
Reacția Blaise este o reacție organică ce duce la formarea unui β-cetoester din reacția zincului metalic cu un α-bromoester și un nitril.[1][2][3] Reacția a fost raportată pentru prima dată de Edmond Blaise (1872-1939) în anul 1901. Intermediarul final este o metaloimină, care este apoi hidrolizată formând β-cetoesterul corespunzător:[4]

The Blaise reaction
Esterii alifatici voluminoși au tendința de a da randamente de reacție mai mari. Steven Hannick și Yoshito Kishi au dezvoltat o procedură îmbunătățită.[5]
Mecanism de reacție

Blaise Rxn Mechanism
Note
- Edmond E. Blaise; Compt. Rend. 1901, 132, 478.
- Rinehart, K. L., Jr. Organic Syntheses, Coll. Vol. 4, p. 120 (1963); Vol. 35, p. 15 (1955). (Article)
- Rao, H. S. P.; Rafi, S.; Padmavathy, K. Tetrahedron 2008, 64, 8037-8043. (Review)
- Cason, J.; Rinehart, K. L., Jr.; Thorston, S. D., Jr. J. Org. Chem. 1953, 18, 1594. (doi:10.1021/jo50017a022)
- Hannick, S. M.; Kishi, Y. J. Org. Chem. 1983, 48, 3833. (doi:10.1021/jo00169a053)
This article is issued from Wikipedia. The text is licensed under Creative Commons - Attribution - Sharealike. Additional terms may apply for the media files.