Reacție Baeyer-Villiger
Reacția Baeyer-Villiger (sau oxidarea Baeyer-Villiger) este o reacție organică de oxidare care ajută la obținerea esterilor din cetone sau lactonelor din cetone ciclice, și se realizează cu peroxiacizi sau peroxizi pe post de agent oxidant.[1] Reacția a fost denumită după Adolf von Baeyer și Victor Villiger care au raportat-o pentru prima dată în anul 1899.[1]

Dacă în locul unei cetone reacționează o cetonă ciclică, produsul de reacție va fi o lactonă, iar dacă se pornește de la o aldehidă se va obține un acid carboxilic.

Mecanism de reacție

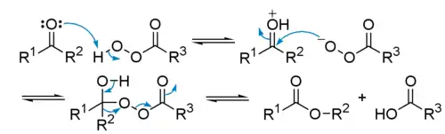
Într-o primă etapă a mecanismul de reacție, peroxiacidul protonează atomul de oxigen din grupa funcțională carbonil.[1] În urma protonării, grupa devine mai susceptibilă la atacul peroxiacidului. În continuare, peroxiacidul atacă carbonul grupei carbonilice, formând un intermediar de tip Criegee. Etapa prezintă un mecanism concertat, iar unul dintre substituenții cetonei migrează la atomul de oxigen al grupei peroxid, în timp de se elimină un acid carboxilic (aceasta este probabil etapa determinantă de viteză).[1][2] În etapa finală, deprotonarea ionului oxo-carbeniu duce la obținere esterului corespunzător.[1]

Note
- Kürti, László; Czakó, Barbara (). Strategic Applications of Named Reactions in Organic Synthesis. Burlington; San Diego; London: Elsevier Academic Press. p. 28. ISBN 978-0-12-369483-6.
- Krow, Grant R. (). „The Baeyer-Villiger Oxidation of Ketones and Aldehydes”. Organic Reactions. 43 (3): 251–798. doi:10.1002/0471264180.or043.03. ISBN 0471264180.