Oxidare organică
Oxidarea organică diferă de cea din domeniul chimiei anorganice și aceasta deoarece nu are loc transferul propriu-zis de electroni. Oxidarea speciilor chimice are loc cu:
- cedare de hidrogen -reacția se numește dehidrogenare
- acceptare de oxigen-reacția se numește oxidare.
Tipuri de reacții
Oxidarea alcanilor
- Toți alcanii reacționează cu aerul sau oxigenul, în urma acestor reacții rezultând produși cu diferite trepte de oxidare. Ecuația generala de oxidare totală sau a arderii este:
Reacția este puternic exotermă cu o entalpie standard de formare ΔH=-886kJmol-1.Pentru fiecare grupare -CH2 valoarea acestei entalpii crește cu circa 650kJ;se pare că lanțurile ramificate ale alcanilor au o valoare mult mai mică față de lanțurile liniare cu același număr de atomi de carbon, fapt care se pare că explică și stabilitatea lor mult mai mare.
- Arderea incompletă a alcanilor duce la formarea de amestecuri de substanțe: etanul de exemplu dă prin oxidare un amestec de alcool metilic (CH 3-OH), C2H5-OH(etanol sau alcool etilic), CH3-CHO (aldehidă acetică) și CH3COOH (acid acetic). Metanul prin ardere incompletă dă naștere la așa numitul gaz de sinteză, o sursă importantă de sinteză pentru mulți compuși organici:
- La oxidarea alcanilor superiori are loc o rupere a moleculei cu formare de acizi carboxilici(mono)
Reacția are loc prin încălzire la 1000C, în prezența de stearat de zinc, sau a permanganatului de potasiu.
Oxidarea alchenelor
- Alchenele suferă o reacție de oxidare în mediu puternic acid în prezență de acid sulfuric și de bicromat de potasiu sau permanganat de potasiu.
;
;
;
Reacțiile prezintă importanță pentru stabilirea structurii alchenelor disubstituite(atomii de hidrogen ai carbonilor dublei legături sunt substituiți cu radicali diferiți).
- Reacția Prilejaev, o reacție de epoxidare alchenelor cu peracizi organici (de regulă acidul meta-cloroperbenzoic sau acidul perbenzoic), conduce la formarea de epoxizi

Reacția are loc la temperaturi scăzute, este dată de majoritatea alchenelor.

Oxidarea alchinelor
Alchinele se oxidează Arhivat în , la Wayback Machine. mult mai greu decît alchenele, reacția avînd loc numai în prezența unor oxidanți foarte puternici de tipul ozonului, capabili să rupă tripla legătură:
Oxidarea arenelor
- Benzenul adiționează ozonul formând o triozonidă instabilă, explozivă.

Benzenul se oxidează în condiții energice, catalizator pentaoxidul de vanadiu V2O5, temperaturi de 4500C.

- Omologii superiori ai benzenului se oxidează la catena laterală cu formare de acid benzoic.
- Xilenii formează acizii corespunzători



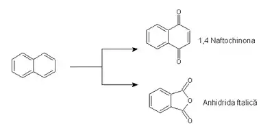
- Naftalina are 2 căi de oxidare: cu acidul cromic sau cu oxigen molecular/V2O5.


- Antracenul poate adiționa oxigen formînd un fotoxid:

- Arenele polinucleare de tipul benzopirenului Arhivat în , la Wayback Machine.(un poluant foarte des întîlnit),sunt transformate prin intermediul unei enzime (epoxidaza hepatică)în 7,8 dihidroxi-9,10 epoxi7,8,9,10 tetrahidrobenzopiren.

Oxidarea alcoolilor
Alcooli suferă reacția de oxidare sau de dehidrogenare trecând în compuși carbonilici., sau acizi carboxilici
- Alcoolii primari se oxidează la aldehidă care poate oxidată până la acid carboxilic:
;
- Alcoolii secundari se transformă în cetonă:
;
- Oxidarea Swern Arhivat în , la Wayback Machine.
Alcooli sunt oxidați la aldehide prin intermediul sulfoxizilor.

- Oxidarea biochimică.
Etanolul este oxidat în organism de către alcool dehidrogenază.
La acest proces participă și niște substanțe denumite coenzime sau cofactori, de tipul NAD (nicotinamidadinucleotid); acesta joacă rol de acceptor de electroni astfel că procersul poate fi exprimat astfel:
Bibliografie
- en Epoxide
- en IUPAC.org
- en Organic-chemistry.org
- en CEM.MSU.edu Arhivat în , la Wayback Machine.
- en Chem.uic.edu Arhivat în , la Wayback Machine.
- en Pubs.Acs.org
- en Ctarr.MyWeb.uga.edu Arhivat în , la Wayback Machine.
- en Faculty.Mansfield.edu[nefuncțională]