Osazonă
Osazonele sunt o clasă de derivați ai carbohidraților care se formează atunci când zaharuri reducătoare reacționează cu un exces de fenilhidrazină la temperaturi de fierbere.[1][2]

Formare
Reacția de formare a osazonelor a fost dezvoltată de Emil Fischer,[3] care a utilizat reacția pentru a identifica monozaharidele.
Formarea unei perechi de grupe funcționale de tip hidrazonă implică atât reacții de oxidare, cât și de condensare.[4] Deoarece reacția necesită o grupare carbonilică liberă pentru formarea hidrazonei, pot participa la reacție doar zaharuri reducătoare, astfel că zaharoza (care este nereducătoare) nu formează o osazonă.
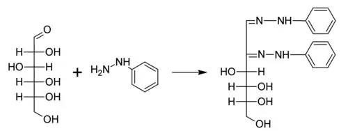
Un exemplu este reacția de formare a glucosazonei, ca urmare a reacției dintre D-glucoză și fenilhidrazină. Același produs se poate obține din fructoză și manoză:

Mecanism de formare
Mecanismul de formare al osazonelor este următorul:

Aspect
Osazonele sunt compuși colorați intens și cristalini. Osazonele se disting ușor pe baza naturii lor, de exemplu:[5]
Note
- El Khadem, Hassan S.; Fatiadi, Alexander J. (). „Hydrazine derivatives of carbohydrates and related compounds”. Advances in Carbohydrate Chemistry and Biochemistry. 55: 175-263. doi:10.1016/S0065-2318(00)55006-9. ISBN 9780120072552. Accesat în .
- Mester, L.; El Khadem, H.; Horton, D. (). „Structure of saccharide osazones”. Journal of the Chemical Society C: Organic (18): 2567. doi:10.1039/J39700002567.
- Helferich, B. (). „Emil Fischer zum 100. Geburtstag”. Angewandte Chemie. 65 (2): 45–52. Bibcode:1953AngCh..65...45H. doi:10.1002/ange.19530650202.
- Ramakrishnan, S. (). Textbook of Medical Biochemistry (în engleză). Orient Blackswan. ISBN 9788125020714.
- Gupta, Anil (). „Carbohydrates”. Comprehensive Biochemistry for Dentistry. Singapore: Springer. pp. 108–110. ISBN 978-981-13-1035-5.
Lectură suplimentară
- Fischer, Emil (). „Schmelzpunkt des Phenylhydrazins und einiger Osazone”. Berichte der Deutschen Chemischen Gesellschaft. 41: 73–77. doi:10.1002/cber.19080410120.
- Fischer, Emil (). „Ueber einige Osazone und Hydrazone der Zuckergruppe”. Berichte der Deutschen Chemischen Gesellschaft. 27 (2): 2486–2492. doi:10.1002/cber.189402702249.
- Barry, VINCENT C.; Mitchell, PW (). „Mechanism of Osazone Formation”. Nature. 175 (4448): 220. Bibcode:1955Natur.175..220B. doi:10.1038/175220a0
. PMID 13235861.