Nucleotidă
O nucleotidă este un compus organic format dintr-un heterociclu azotat, o pentoză și una sau mai multe grupări fosfat. Heterociclul este de obicei o bază azotată, formând bazele azotate purinice (adenină și guanină), sau bazele pirimidinice (citozină și timină). În cazul ARN-ului timina este înlocuită de uracil. Pentoza este formată dintr-un ciclu pentaatomic: dezoxiriboză (la ADN) sau riboză (la ARN). Complexul astfel format este condensat cu 3 grupări fosfat și intră în unitatea structurală a acizilor nucleici (ARN-ului sau ADN-ului), dar și în structura cofactorilor CoA, FAD, FMN, NAD, NADP.

Grupate câte trei constituie codoni, secvențe codificatoare pentru aminoacizi în sinteza proteinelor.
Intervin în metabolismul miocitelor componente ale sistemului muscular al vertebratelor [1].
Structuri chimice
Nucleotide
![]() Adenosin monofosfat AMP |
![]() Adenosin difosfat ADP |
![]() Adenosin trifosfat ATP |
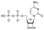
![]() Guanosin monofosfat GMP |
![]() Guanosine difosfat GDP |
![]() Guanosine trifosfat GTP |
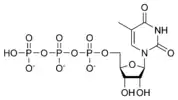
![]() Timidină monofosfat TMP |
![]() Timidină difosfat TDP |
![]() Timidină trifosfat TTP |
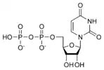
![]() Uridin monofosfat UMP |
![]() Uridin difosfat UDP |
![]() Uridin trifosfat UTP |
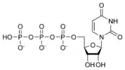
![]() Citidin monofosfat CMP |
![]() Citidin difosfat CDP |
![]() Citidin trifosfat CTP |
Deoxinucleotide
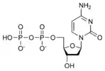
![]() Deoxiadenosin monofosfat dAMP |
![]() Deoxiadenosin difosfat dADP |
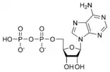
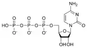
![]() Deoxiadenosin trifosfat dATP |
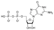
![]() Deoxiguanosin monofosfat dGMP |
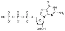
![]() Deoxiguanosin difosfat dGDP |
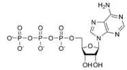
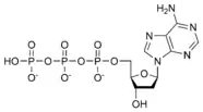
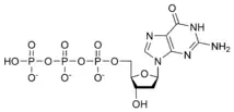
![]() Deoxiguanosin trifosfat dGTP |
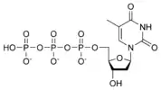
![]() Deoxitimidin monofosfat dTMP |
![]() Timidin difosfat TDP |
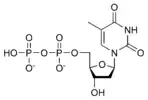
![]() Deoxitimidin trifosfat dTTP |
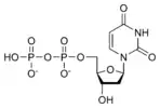
![]() Deoxiuridin monofosfat dUMP |
![]() Deoxiuridin difosfat dUDP |
![]() Deoxiuridin trifosfat dUTP |
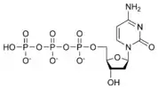
![]() Deoxicitidin monofosfat dCMP |
![]() Deoxicitidin difosfat dCDP |
![]() Deoxicitidin trifosfat dCTP |
Note
- Mogoș Ianculescu
Bibliografie
- Gheorghe Mogoș, Alexandru Ianculescu, Compendiu de anatomie și fiziologie, Editura Medicală, București, 197?





























