Mezlocilină
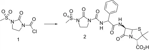
Mezlocilina este un antibiotic din clasa penicilinelor, subclasa ureidopeniciline (acil-aminopeniciline), care a fost utilizat în tratamentul unor infecții bacteriene.[9] Era utilizată pentru infecții complicate produse de bacterii Gram-negative, inclusiv cele cu Pseudomonas aeruginosa.[10] Prezintă un profil similar cu piperacilina și azlocilina.
| Mezlocilină | |
![]() | |
| Identificare | |
|---|---|
| Număr CAS | 51481-65-3[1][2] |
| PubChem | 656511[3] |
| DrugBank | 00948[4] |
| ChemSpider | 570894[5] |
| UNII | OH2O403D1G[1] |
| KEGG | C07221[6] |
| ChEMBL | CHEMBL1731[7] |
| Cod ATC | J01CA10[8] |
| SMILES | |
| InChI | InChI=InChI=1S/C21H25N5O8S2/c1-21(2)14(18(29)30)26-16(28)13(17(26)35-21)22-15(27)12(11-7-5-4-6-8-11)23-19(31)24-9-10-25(20(24)32)36(3,33)34/h4-8,12-14,17H,9-10H2,1-3H3,(H,22,27)(H,23,31)(H,29,30)/t12-,13-,14+,17-/m1/s1[3] |
| Date chimice | |
| Formulă | C₂₁H₂₅N₅O₈S₂[3] |
| Masă molară | 539,114 u.a.m.[3] |
Note
- mezlocillin (în engleză), Global Substance Registration System, accesat în
- CAS Common Chemistry, accesat în
- „Mezlocilină”, MEZLOCILLIN (în engleză), PubChem, accesat în
- Mezlocillin (în engleză), DrugBank, accesat în
- Mezlocillin (în engleză), ChemSpider, accesat în
- mezlocillin (în engleză), ChEBI, accesat în
- MEZLOCILLIN (în engleză), ChEMBL, accesat în
- Mezlocillin (în engleză), DrugBank,
- „Mezlocillin”, DrugBank, accesat în
- Yohei Doi, Henry F. Chambers (2015): Penicillins and β-Lactamase Inhibitors, Mandell, Douglas, and Bennett's Principles and Practice of Infectious Diseases (Ediția 8), vol. 1, pag. 263-277; doi:10.1016/B978-1-4557-4801-3.00020-5
- W. Schroeck, H. R. Furtwaengier, H. B. Koenig, and K. G.Metzer, German Offen. 2,318,955 (1973); Chem. Abstr., 82,31313b (1975).
- H. B. Koenig, K. G. Metzer, H. A. Offe, and W. Schroeck, Eur. J_. Med. Chem., 17, 59 (1982).
This article is issued from Wikipedia. The text is licensed under Creative Commons - Attribution - Sharealike. Additional terms may apply for the media files.

