Inversie Walden
Inversia Walden reprezintă inversia unui centru chiral dintr-o moleculă în timpul unei reacții chimice. Din moment ce o moleculă poate avea doi enantiomeri la un centru de chiralitate, inversia Walden decurge cu inversarea configurației unei molecule, cu trecerea dintr-un enantiomer în altul. Cel mai cunoscut exemplu de reacție este substituția nucleofilă bimoleculară (SN2), în care inversia Walden are loc la atomul de carbon tetraedric, ca în imaginea din dreapta.

Reprezentare a celor trei etape a reacției SN2, în care se observă inversia Walden. Specia nucleofilă este colorată în verde, nucleofugul în roșu, iar substituenții în nuanțe de oranj.
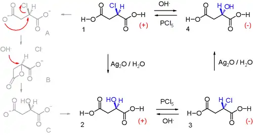
Ciclul Walden
Inversia Walden a fost observată pentru prima dată de Paul Walden în anul 1896, când a reușit conversia unui enantiomer a unui compus în celălalt enantiomer, și invers, urmând un așa-numit ciclu Walden.
Vezi și
- Reacție SN2
- Transpoziție Brook
Referințe
This article is issued from Wikipedia. The text is licensed under Creative Commons - Attribution - Sharealike. Additional terms may apply for the media files.
