Histamină
Histamina (imidazoletilamină) este o amină biogenă. Se găsește în țesuturile animalelor, în plante, țesuturi animale, plante, bacterii, veninuri.
| Histamină | |
![]() | |
![]() | |
| Identificare | |
|---|---|
| Număr CAS | 51-45-6 |
| ChEMBL | CHEMBL90 |
| PubChem CID | 774 |
| Formulă chimică | C₅H₉N₃[1] |
| Masă molară | 111,08 u.a.m.[2] |
| Punct de topire | 83,5 °C |
| Punct de fierbere | 209,5 °C |
| Sunt folosite unitățile SI și condițiile de temperatură și presiune normale dacă nu s-a specificat altfel. | |
La om, histamina există la nivelul plămânilor, pielii și mucoasei gastrointestinală.
Biosinteză și metabolizare
Biosinteză

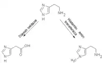
Histamina este rezultatul decarboxilării histidinei, sub acțiunea unei enzime numite 1-histidin-decarboxilază (1-HDC).
Metabolizare

Există 2 căi de metabolizare a histaminei:
- O primă transformare are loc în citoplasma celulară, la periferie, unde sub acțiunea histaminazei (diaminoxidază), are loc o dezaminare oxidativă cu formarea imidazol acetat.
- A 2 cale are loc la nivel cerebral, unde histamina suferă acțiunea a altor 2 enzime: histaminmetiltransferază și monoaminoxidaza B (MAO B); rezultă un compus intermediar 3metilhistamina, pentru ca produsul final să fie 3-metil imidazol acetat.
Efecte
Aparat digestiv
- Histamina acționează ca stimulator al secreției gastrice, factor de reglare a microcirculației. În general se folosește pentru determinarea capacității secretorii acide a stomacului.
Nivel cutanat
Se pare că agresiunile fizice sau chimice pot determina eliberarea de histamină., fiind principalul mediator a alergiilor de tip I. Manifestările clinice ale acestui tip de alergie sunt: urticaria, edem, rinită deroasă, șoc anafilactic. Administrată intradermic determină o reacție vasculară de tip "tripla reacție": la locul injectării apare o pată roșie datorită dilatației arteriolelor, care este rapid înlocuită de o papulă cu o areolă roșie neregulată.
Sistem circulator
La nivel circulator, este un mediator important, efectele sale fiind proporționale cu doza dar și cu calea de administrare: administrată intravenos are efect congestiv mai ales la nivelul capului și trunchiului. În doze mari scade presiunea arterială prin vasodilatație și hipovolemie, determinînd o stare de șoc. La nivel arteriolar determină dilatația marcată a arteriolelor terminale și venulelor postcapilare.
Aparat respirator
Ea se mai poate elibera și din mastocite ca urmare a interacției antigen- anticorp, având astfel un rol important în alergii și răspunsurile alergice. Ea provoacă bronhoconstricție slabă, astmaticii fiind extrem de sensibili la această acțiune.
Receptori
Efectele histaminei sunt mediate de 3 subtipuri de receptori histaminici: H 1, H 2, H 3 .
| Receptorul | Acțiune | Antagoniști |
|---|---|---|
| H 1 | Bronhoconstricție, vasodilatație, creșterea permeabilității capilare, prurit | Difenhidramina, Clorfeniramina, Prometazina, Terfenadina, Astemizol, Loratadină, Cetirizina , Cloropiramina |
| H 2 | Secreție acidă gastrică, deprimant cardiac, contracție esofagiană, inhibarea eliminării de histamină din bazofile | Ranitidina, Famotidina, Nizatidina |
| H 3 | Inhibarea neurotransmisiei sinaptice, Down-reglarea sintezei de histamină | Tioperamidă. |
Bibliografie
- Farmacologie, Valentin Stroescu, Ed ALL 1999
- „Histamină”, histamine (în engleză), PubChem, accesat în
- „Histamină”, histamine (în engleză), PubChem, accesat în

