Grafic logaritmic
În știință și inginerie, un grafic logaritmic este un grafic bidimensional pentru date numerice, care utilizează scări logaritmice pe axele orizontale și verticale. Într-un grafic logaritmic monoamele — relații de forma — apar ca drepte, cu exponentul puterii corespunzând pantei, iar coeficientul constant corespunzând punctului de interceptare (valoarea lui y pentru x = 1). Astfel, aceste grafice sunt foarte utile pentru recunoașterea acestor relații și estimarea valorilor. Pentru logaritm se poate utiliza orice bază, deși cel mai frecvent se utilizează baza 10 (logaritmii zecimali).

De notat gradațiile scării logaritmice de pe fiecare dintre axe și că punctul de interceptare este acolo unde x și y sunt 1.
Relațiile cu monoamele
Fiind dată ecuația formată dintr-un singur monom luând logaritmul ecuației (în orice bază) rezultă:
Punând și corespunzătoare graficului logaritmic, rezultă ecuația:
unde m = k este panta dreptei, iar b = log a este punctul de interceptare.[1]
Ecuații
Ecuația unei drepte dintr-un grafic logaritmic este
unde m este panta, iar b este punctul de interceptare.
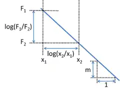
Obținerea pantei dintr-un grafic logaritmic

Pentru a obține din grafic panta se aleg două puncte pe axa x, fie ele x1 și x2. Folosind ecuația de mai sus:
și
Panta m se obține din diferența:
unde F1 este o prescurtare pentru F(x1) iar F2 una pentru F(x2). Figura din dreapta ilustrează formula. Se observă că panta din exemplul figurii este negativă. Formula dă și ea o pantă negativă, așa cum se poate vedea din următoarea proprietate a logaritmului:
Obținerea funcției dintr-un grafic logaritmic
.svg.png.webp)
Pentru a obține forma funcției F(x) folosind graficul său logaritmic (presupus) cunoscut se folosește o procedură inversă față de cea de mai sus. Se alege un punct fix (x0, F0), unde F0 este prescurtarea pentru F(x0), undeva pe dreapta din graficul de mai sus, și un alt punct arbitrar (x1, F1) de pe același grafic. Apoi, din formula pantei de mai sus se calculează
ceea ce duce la
De notat că 10log10(F1) = F1. Prin urmare, inversând logaritmii se obține:
sau
ceea ce înseamnă că
Cu alte cuvinte, F este proporțional cu x la puterea pantei dreptei din graficul său logaritmic. Mai exact, o dreaptă dintr-un grafic logaritmic care conține punctele (F0, x0) și (F1, x1) va corespunde funcției:
Desigur, este adevărat și inversul: orice funcție de forma
va avea ca reprezentare într-un grafic logaritmic o dreaptă, cu panta m.
Calculul ariei de sub un segment de dreaptă dintr-un grafic logaritmic
Pentru a calcula aria de sub un segment de dreaptă dintr-un grafic logaritmic (sau estimarea unei arii de sub o porțiune a unei linii aproape drepte) se ia funcția definită anterior
și se integrează. Deoarece se face o integrală definită (între două puncte finale definite), aria A din grafic ia forma
Rearanjand ecuația originală și introducând valorile din punctele fixe, se constată că
Înlocuind înapoi în integrală, se obține pentru A de la x0 la x1
Prin urmare:
Pentru m = −1, integrala devine
Aplicații
Aceste grafice sunt utile atunci când parametrii a și b trebuie determinați din datele numerice. Astfel de cerințe apar frecvent în economie.
Un exemplu este estimarea necesarului de finanțare bazat pe teoria inventarului, în care se poate presupune că cererea de bani la momentul t este dată de
unde M este suma reală de bani deținută de public, R este rata rentabilității(d) pentru un activ alternativ, cu randament mai mare, Y este venitul real(d) al publicului, U este un termen de eroare presupus a avea o distribuție logaritmică normală(d), A este un parametru de scară care trebuie estimat, iar b și c sunt parametrii de elasticitate care trebuie estimați. Prin logaritmare se obține
unde m = log M, a = log A, r = log R, y = log Y, iar and u = log U cu u având o distribuție normală. Această ecuație poate fi tratată prin metoda celor mai mici pătrate.
Alt exemplu din economie este estimarea funcției Cobb–Douglas a unei firme, care este partea dreaptă a ecuației
în care Q este cantitatea care poate fi produsă pe lună, N este numărul de ore de muncă angajate în producție pe lună, K este numărul de ore fizice ocupate pe lună, U este un termen de eroare presupus a fi distribuit logaritmic normal, iar A, și sunt parametri care trebuie să fie estimați. Logaritmând se obține ecuația de regresie liniară
unde q = log Q, a = log A, n = log N, k = log K, iar u = log U.
Regresia logaritmică poate fi folosită și pentru a estima dimensiunea fractală(d) a unui fractal natural.
Însă judecata inversă — observând că datele apar aproximativ ca o dreaptă pe o scară logaritmică și concluzionând că datele urmează o lege exprimată prin puteri — este invalidă.[2]
De fapt, pe o scară logaritmică multe alte forme de funcții apar aproximativ liniare. Simpla evaluare a calității potrivirii(d) unei regresii liniare(d) cu datele înregistrate folosind coeficientul de determinare(d) (R2) poate fi invalidă, deoarece ipotezele modelului de regresie liniară, cum ar fi eroarea gaussiană, pot să nu fie satisfăcute. În plus, testele de potrivire ale formei logaritmice pot avea putere statistică(d) scăzută, deoarece probabilitatea ca aceste teste să respingă relații exprimate prin puteri în favoarea altor forme de funcții, mai adevărate, este scăzută. În timp ce graficele logaritmice simple pot fi utile în detectarea posibilelor legi exprimate prin puteri și au fost folosite de Pareto începând din anii 1890, validarea ca legi exprimate prin puteri necesită statistici mai sofisticate.[2]
Graficele logaritmice sunt extrem de utile atunci când datele sunt obținute prin varierea variabilei de control de-a lungul unei funcții exponențiale, caz în care variabila de control x este reprezentată mai natural pe o scară logaritmică, astfel încât punctele de date sunt distanțate uniform în loc să fie îngrămădite la capătul inferior. Variabila de ieșire y poate fi fie reprezentată liniar, obținând un grafic semilogaritmic (log x, y), fie poate fi luat și logaritmul său, rezultând un grafic logaritmic (log x, log y).
Un diagramă Bode(d) (care este un grafic al răspunsului în frecvență al unui sistem) este și el un grafic logaritmic.
Note
- en M. Bourne Graphs on Logarithmic and Semi-Logarithmic Paper (www.intmath.com)
- en Clauset, A.; Shalizi, C. R.; Newman, M. E. J. (). „Power-Law Distributions in Empirical Data”. SIAM Review. 51 (4): 661–703. arXiv:0706.1062
. Bibcode:2009SIAMR..51..661C. doi:10.1137/070710111.
Legături externe
- en Non-Newtonian calculus website
- en M. Bourne, Graphs on Logarithmic and Semi-Logarithmic Paper la www.intmath.com