Ftalimidă
Ftalimida (IUPAC: izoindol-1,3-dionă) este un compus organic cu formula chimică C6H4(CO)2NH, fiind derivatul imidic al anhidridei ftalice. Este un compus alb ce sublimează, puțin solubil în apă, dar care reacționează cu baze cu formare de săruri. Este un precursor în sinteza organică, fiind utilizat ca sursă de amoniac.[3]
| Ftalimidă | |
![]() | |
![]() | |
| Identificare | |
|---|---|
| Număr CAS | 85-41-6 |
| ChEMBL | CHEMBL277294 |
| PubChem CID | 6809 |
| Formulă chimică | C₈H₅NO₂[1] |
| Masă molară | 147,032 u.a.m.[1] |
| Punct de topire | 234 °C[2] |
| Sunt folosite unitățile SI și condițiile de temperatură și presiune normale dacă nu s-a specificat altfel. | |
Obținere
Ftalimida se obține în urma încălzirii anhidridei ftalice cu amoniac și etanol, cu un randament de 95–97%. O variantă alternativă presupune tratarea anhidridei cu carbonat de amoniu sau uree. Se mai poate utiliza amonoxidarea o-xilenului.[3]
Proprietăți chimice
Formarea de săruri
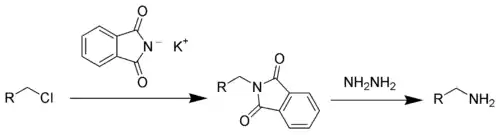
Ftalimida formează săruri prin tratare cu unele baze, precum hidroxid de sodiu. Grupa imido N-H prezintă caracter acid crescut datorită celor două grupe carbonilice electrofile vicinale. Prin reacția cu soluție de carbonat de potasiu la 100 °C sau cu hidroxid de potasiu în etanol absolut produce ftalimida potasată,[4] o sare utilizată în sinteza Gabriel a aminelor primare:[5]
Utilizări
Este utilizată ca precursor de acid antranilic, de azocoloranți și zaharină.[3]
Note
- „Ftalimidă”, PHTHALIMIDE (în engleză), PubChem, accesat în
- Jean-Claude Bradley Open Melting Point Dataset
- Lorz, Peter M.; Towae, Friedrich K.; Enke, Walter; Jäckh, Rudolf; Bhargava, Naresh; Hillesheim, Wolfgang (), „Phthalic Acid and Derivatives”, Ullmann's Encyclopedia of Industrial Chemistry, Weinheim: Wiley-VCH, doi:10.1002/14356007.a20_181.pub2
- Salzberg, P. L.; Supniewski, J. V., „β-Bromoethylphthalimide”, Org. Synth., 7: 8, doi:10.15227/orgsyn.007.0008; Collective Volume, 1, p. 119
- Siegfried Hauptmann: Organische Chemie, 2. durchgesehene Auflage, VEB Deutscher Verlag für Grundstoffindustrie, Leipzig, 1985, S. 490, ISBN 3-342-00280-8.




