Dezvoltarea unui polinom
În matematică dezvoltarea unui polinom exprimat ca un produs de sume este aducerea sa la o formă de sumă de produse, uzual monoame, folosind faptul că înmulțirea este distributivă față de adunare. Dezvoltarea unei expresii polinomiale poate fi obținută prin înlocuirea în mod repetat a subexpresiilor care se înmulțesc cu alte subexpresii, dintre care cel puțin una este o adunare, cu suma echivalentă de produse, continuând până când expresia devine o sumă de produse (repetate). În timpul dezvoltării, se pot aplica și simplificări, cum ar fi gruparea de termeni similari sau anularea termenilor. În loc de înmulțiri, etapele dezvoltării ar putea cuprinde și înlocuirea puterilor unei sume de termeni cu expresia echivalentă obținută din formula binomului. Aceasta este o formă scurtă a ceea ce s-ar întâmpla dacă puterea ar fi tratată ca o înmulțire repetată și dezvoltată în mod repetat. Se obișnuiește ca în rezultatul final să se reintroducă puteri atunci când termenii sunt formați din produse ale simbolurilor identice.
Exemple simple de dezvoltări polinomiale sunt bine cunoscutele reguli: [1]
când membrul sâng este adus la forma membrului drept. O dezvoltare mai generală într-o singură etapă va introduce toate produsele unui termen al uneia dintre sume înmulțite cu un termen al celeilalte:
O dezvoltare care implică mai mulți pași de rescriere imbricați este aceea de a elabora o schemă Horner la polinomul (dezvoltat) pe care îl definește, de exemplu:
- .
Procesul opus al dezvoltării unui polinom se numește factorizarea polinomului(d).
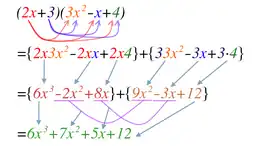
Dezvoltarea unui polinom scris în formă factorizată

(Pentru a înmulți mai mult de 2 expresii, se înmulțesc doar câte 2 o dată.)
Pentru a înmulți doi factori, fiecare termen al primului factor trebuie înmulțit cu fiecare termen al celuilalt factor.[1] De exemplu, dezvoltarea
este
Dezvoltarea expresiei (x+y)n
Când se dezvoltă , există o relație specială între coeficienții termenilor atunci când sunt scrise în ordinea puterilor descrescătoare ale lui x și a puterilor crescătoare ale lui y. Coeficienții vor fi numerele din al (n+1)-lea rând al triunghiului lui Pascal (deoarece triunghiul lui Pascal începe cu numerele de rând și coloană „0”).
De exemplu, la dezvoltarea se obține expresia:
Note
- 5. Expansion, math.uakron.edu, accesat 2023-01-12
Legături externe
- en Expand page, quickmath.com
- en Online Calculator with Symbolic Calculations, livephysics.com