Benzimidazol
Benzimidazolul (1H-benzo[d]imidazol) este un compus heterociclic biciclic și aromatic. Din punct de vedere structural, prezintă două nuclee fuzionate: de benzen și de imidazol. Este un solid incolor.
| Benzimidazol | |
![]() | |
![]() | |
![]() | |
| Identificare | |
|---|---|
| Număr CAS | 51-17-2 |
| ChEMBL | CHEMBL306226 |
| PubChem CID | 5798 |
| Formulă chimică | C₇H₆N₂[1] |
| Masă molară | 118,053 u.a.m.[2] |
| Punct de topire | 172 °C[3] |
| Sunt folosite unitățile SI și condițiile de temperatură și presiune normale dacă nu s-a specificat altfel. | |
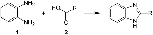
Obținere
Benzimidazolul este obținut în urma reacției de condensare a o-fenilendiaminei cu acid formic,[4] sau cu ortoformat de trimetil (esterul trimetilic al acidului ortoformic):
- C6H4(NH2)2 + HC(OCH3)3 → C6H4N(NH)CH + 3 CH3OH
Derivații substituiți în poziția 2 sunt obținuți în cazul în care condensarea se face cu aldehide, urmată de oxidare:[5]

Proprietăți
Benzimidazolul este o bază:
- C6H4N(NH)CH + H+ → [C6H4(NH)2CH]+
Benzimidazolul poate să fie și deprotonat, dar doar în prezența unor baze puternice:
- C6H4N(NH)CH + LiH → Li [C6H4N2CH] + H2
Imina poate fi alchilată și utilizată ca ligand în chimia coordinativă. Cel mai cunoscut complex benzimidazolic este N-ribozil-dimetilbenzimidazolul din vitamina B12.[6]
Utilizări

Benzimidazolii prezintă anumite proprietăți bioactive, ca urmare se pot utiliza ca medicamente. Multe antihelmintice sunt derivați benzimidazolici (de exemplu, albendazol, mebendazol, tiabendazol, etc.), dar există și unele antifungice din această clasă. Mecanismul de acțiune al benzimidazolilor este prin legarea de microtubuli și inhibarea creșterii hifelor (în cazul fungilor).
Alte medicamente care conțin un nucleu benzimidazolic sunt: etonitazenă, galeteronă, mavatrep și dovitinib.
Unii coloranți sunt derivați de benzimidazol.[7]
Note
- „Benzimidazol”, BENZIMIDAZOLE (în engleză), PubChem, accesat în
- „Benzimidazol”, BENZIMIDAZOLE (în engleză), PubChem, accesat în
- Jean-Claude Bradley Open Melting Point Dataset
- E. C. Wagner and W. H. Millett (), „Benzimidazole”, Org. Synth.; Collective Volume, 2, p. 65.
- Robert A. Smiley "Phenylene- and Toluenediamines" in Ullmann's Encyclopedia of Industrial Chemistry 2002, Wiley-VCH, Weinheim. doi:10.1002/14356007.a19_405
- H. A. Barker; R. D. Smyth; H. Weissbach; J. I. Toohey; J. N. Ladd; B. E. Volcani (). „Isolation and Properties of Crystalline Cobamide Coenzymes Containing Benzimidazole or 5,6-Dimethylbenzimidazole”. Journal of Biological Chemistry. 235 (2): 480–488. PMID 13796809. Arhivat din original la . Accesat în .
- Horst Berneth "Methine Dyes and Pigments" in Ullmann's Encyclopedia of Industrial Chemistry, 2008, Wiley-VCH, Weinheim. doi:10.1002/14356007.a16_487.pub2 10.1002/14356007.a16_487.pub2
- Grimmett, M. R. (). Imidazole and benzimidazole synthesis. Boston: Academic Press. ISBN 0-12-303190-7.


