Aloxan
Aloxanul este un compus organic derivat de pirimidină. Prezintă o toxicitate selectivă asupra celulelor pancreatice secretoare de insulină, fiind astfel utilizat pentru inducerea diabetului la animalele de experiență.[2][3]
| Aloxan | |
![]() | |
| Identificare | |
|---|---|
| Număr CAS | 50-71-5 |
| ChEMBL | CHEMBL1096009 |
| PubChem CID | 5781 |
| Formulă chimică | C₄H₂N₂O₄[1] |
| Masă molară | 142,001 u.a.m.[1] |
| Sunt folosite unitățile SI și condițiile de temperatură și presiune normale dacă nu s-a specificat altfel. | |
Istoric
Aloxanul a fost descoperit de către Justus von Liebig și Friedrich Wöhler, și este unul dintre cei mai vechi compuși organici care au fost denumiți. A fost inițial preparat de către Luigi Valentino Brugnatelli (1761-1818) în anul 1818 [4][5] și a fost denumit în 1838 de către Wöhler și Liebig.[6] Denumirea provine de la cuvintele „alantoină” și „Oxalsäure” (acid oxalic în germană). Implicarea sa în inducerea diabetului a fost descrisă de Dunn, Sheehan și McLetchie în 1943.[7]
Obținere
Prima sinteză a aloxanului a fost realizată prin oxidarea acidului uric cu acid azotic. O altă metodă implică oxidarea acidului barbituric cu trioxid de crom.[8]
Compusul dimerizează la aloxantină în urma reacției de reducere parțială, care se poate face cu hidrogen sulfurat:[9]
Proprietăți
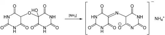
Aloxanul a fost utilizat pentru sinteza de murexid, un colorant descoperit de către Carl Wilhelm Scheele în anul 1776. Murexidul este produs în urma unei succesiuni de reacții ale aloxantinei și amoniacului gazos. Murexidul se formează prin reacția de condensare a intermediarului uramil cu aloxan.[10]
Murexidul (dreapta) este produs din aloxantină (stânga)
Note
- „Aloxan”, Alloxan (în engleză), PubChem, accesat în
- Danilova I.G., Sarapultsev P.A., Medvedeva S.U., Gette I.F., Bulavintceva T.S., Sarapultsev A.P. (). „Morphological Restructuring of Myocardium During the Early Phase of Experimental Diabetes Mellitus”. Anat Rec. 298 (2): 396–407. doi:10.1002/ar.23052. hdl:10995/73117
. - Loreto D, Elina V. 2009. Experimental surgical models in the laboratory rat. Boca Raton: CRC Press.
- Luigi Valentino Brugnatelli; citat și ca: Luigi Gaspari Brugnatelli sau Luigi Vincenzo Brugnatelli.
- Vezi și:
- Gaspare Brugnatelli (1818) "Sopra i cangiamenti che avvengono nell' ossiurico (ac. urico) trattato coll' ossisettonoso (ac. nitroso)" (Despre schimbările care au loc în urma tratării acidului uric cu acid nitric), Giornale di Fisica, Chimica, Storia Naturale, Medicina, ed Arti, 2nd series, 1 : 117-129. Brugnatelli l-a denumit ossieritrico (acid eritric) [p. 117].
- (Gaspard Brugnatelli) (1818) "Sur un acide nouveau obtenu en traitant l'acide urique par acide nitrique" (Despre un nou acid obținut în urma tratării acidului uri cu acid nitric), Annales de Chimie et de Physique, 2nd series, 8 : 201-204.
- F. Wöhler und J. Liebig (1838) "Untersuchungen über die Natur der Harnsäure" (Investigații despre natura acidului uric), Annalen der Chemie und Pharmacie, 26 : 241-340. Este denumit pe p. 252 iar sinteza apare la p. 256 ff.
- Dunn, J. S.; Sheehan, H. L.; McLetchie, N. G. B. (). „Necrosis of Islets of Langerhans Produced Experimentally”. Lancet. 241 (6242): 484–487. doi:10.1016/S0140-6736(00)42072-6.
- Holmgren, A. V.; Wenner, W. (), „Alloxan monohydrate”, Org. Synth., 32: 6; Collective Volume, 4, p. 23
- Tipson, R. S. (), „Alloxantin dihydrate”, Org. Synth., 33: 3; Collective Volume, 4, p. 25
- Sánchez-Viesca, Francisco & Gómez, Reina. (2019). On the Mechanism of the Murexide Reaction. World Journal of Organic Chemistry. 7. 14-18. doi:10.12691/wjoc-7-1-3
Vezi și
- Acid barbituric
- Streptozocină - alt inductor al diabetului

