Hammersley–Clifford theorem
The Hammersley–Clifford theorem is a result in probability theory, mathematical statistics and statistical mechanics that gives necessary and sufficient conditions under which a strictly positive probability distribution can be represented as events generated by a Markov network (also known as a Markov random field). It is the fundamental theorem of random fields.[1] It states that a probability distribution that has a strictly positive mass or density satisfies one of the Markov properties with respect to an undirected graph G if and only if it is a Gibbs random field, that is, its density can be factorized over the cliques (or complete subgraphs) of the graph.
The relationship between Markov and Gibbs random fields was initiated by Roland Dobrushin[2] and Frank Spitzer[3] in the context of statistical mechanics. The theorem is named after John Hammersley and Peter Clifford, who proved the equivalence in an unpublished paper in 1971.[4][5] Simpler proofs using the inclusion–exclusion principle were given independently by Geoffrey Grimmett,[6] Preston[7] and Sherman[8] in 1973, with a further proof by Julian Besag in 1974.[9]
Proof outline

It is a trivial matter to show that a Gibbs random field satisfies every Markov property. As an example of this fact, see the following:
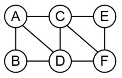
In the image to the right, a Gibbs random field over the provided graph has the form . If variables and are fixed, then the global Markov property requires that: (see conditional independence), since forms a barrier between and .
With and constant, where and . This implies that .
To establish that every positive probability distribution that satisfies the local Markov property is also a Gibbs random field, the following lemma, which provides a means for combining different factorizations, needs to be proved:

Lemma 1
Let denote the set of all random variables under consideration, and let and denote arbitrary sets of variables. (Here, given an arbitrary set of variables , will also denote an arbitrary assignment to the variables from .)
If
for functions and , then there exist functions and such that
In other words, provides a template for further factorization of .
Proof of Lemma 1 |
|---|
|
In order to use as a template to further factorize , all variables outside of need to be fixed. To this end, let be an arbitrary fixed assignment to the variables from (the variables not in ). For an arbitrary set of variables , let denote the assignment restricted to the variables from (the variables from , excluding the variables from ). Moreover, to factorize only , the other factors need to be rendered moot for the variables from . To do this, the factorization
will be re-expressed as
For each : is where all variables outside of have been fixed to the values prescribed by . Let and for each so
What is most important is that when the values assigned to do not conflict with the values prescribed by , making "disappear" when all variables not in are fixed to the values from . Fixing all variables not in to the values from gives
Since ,
Letting gives: which finally gives: |

Lemma 1 provides a means of combining two different factorizations of . The local Markov property implies that for any random variable , that there exists factors and such that:
where are the neighbors of node . Applying Lemma 1 repeatedly eventually factors into a product of clique potentials (see the image on the right).
End of Proof
See also
- Markov random field
- Conditional random field
Notes
- ↑ Lafferty, John D.; Mccallum, Andrew (2001). "Conditional Random Fields: Probabilistic Models for Segmenting and Labeling Sequence Data". Proc. of the 18th Intl. Conf. on Machine Learning (ICML-2001). Morgan Kaufmann. ISBN 9781558607781. Retrieved 14 December 2014.
by the fundamental theorem of random fields (Hammersley & Clifford 1971)
- ↑ Dobrushin, P. L. (1968), "The Description of a Random Field by Means of Conditional Probabilities and Conditions of Its Regularity", Theory of Probability and Its Applications, 13 (2): 197–224, doi:10.1137/1113026
- ↑ Spitzer, Frank (1971), "Markov Random Fields and Gibbs Ensembles", The American Mathematical Monthly, 78 (2): 142–154, doi:10.2307/2317621, JSTOR 2317621
- ↑ Hammersley, J. M.; Clifford, P. (1971), Markov fields on finite graphs and lattices (PDF)
- ↑ Clifford, P. (1990), "Markov random fields in statistics", in Grimmett, G. R.; Welsh, D. J. A. (eds.), Disorder in Physical Systems: A Volume in Honour of John M. Hammersley, Oxford University Press, pp. 19–32, ISBN 978-0-19-853215-6, MR 1064553, retrieved 2009-05-04
- ↑ Grimmett, G. R. (1973), "A theorem about random fields", Bulletin of the London Mathematical Society, 5 (1): 81–84, CiteSeerX 10.1.1.318.3375, doi:10.1112/blms/5.1.81, MR 0329039
- ↑ Preston, C. J. (1973), "Generalized Gibbs states and Markov random fields", Advances in Applied Probability, 5 (2): 242–261, doi:10.2307/1426035, JSTOR 1426035, MR 0405645
- ↑ Sherman, S. (1973), "Markov random fields and Gibbs random fields", Israel Journal of Mathematics, 14 (1): 92–103, doi:10.1007/BF02761538, MR 0321185
- ↑ Besag, J. (1974), "Spatial interaction and the statistical analysis of lattice systems", Journal of the Royal Statistical Society, Series B, 36 (2): 192–236, JSTOR 2984812, MR 0373208
Further reading
- Grimmett, Geoffrey (2018), "7.", Probability on Graphs (2nd ed.), Cambridge University Press, ISBN 9781108438179
- Langseth, Helge, The Hammersley–Clifford Theorem and its Impact on Modern Statistics (PDF), Department of Mathematical Sciences, Norwegian University of Science and Technology