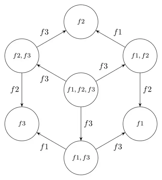
Here's what my graph looks like:
I have several issues with this:
- I expected the external edges to have similar sizes. As you can see, the ones on the sides are much longer than the ones on the top/bottom. Is there a way to make them even, and the graph look more "circular"?
- The nodes are of different sizes. The one in the middle is way too big. Is there a way to make them the same size (possibly make all the labels smaller, so that the nodes aren't really big)?
- The labels on the edges are placed almost randomly. Is there a way to make this more consistent?
My code:
\begin{tikzpicture}[->,node distance=3cm,auto,
main node/.style={circle,draw}]
\node[main node] (0) {\(f1, f2, f3\)};
\node[main node] (1) [above of=0] {\(f1, f2\)};
\node[main node] (2) [above right of=0] {\(f2\)};
\node[main node] (3) [below right of=0] {\(f2, f3\)};
\node[main node] (4) [below of=0] {\(f3\)};
\node[main node] (5) [below left of=0] {\(f1, f3\)};
\node[main node] (6) [above left of=0] {\(f1\)};
\path[every node/.style={font=\sffamily\small}]
(0) edge node {\(f3\)} (1)
(0) edge node {\(f1\)} (3)
(0) edge node {\(f2\)} (5)
(1) edge node {\(f1\)} (2)
(1) edge node {\(f2\)} (6)
(3) edge node {\(f3\)} (2)
(3) edge node {\(f2\)} (4)
(5) edge node {\(f1\)} (4)
(5) edge node {\(f3\)} (6);
\end{tikzpicture}




tikz-cdfor the more circular look? – Bernard Oct 11 '19 at 12:42