What would be the best formatting of the following align and cases where the middle case has a very long math equation?
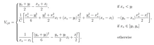
\begin{align*}
V_{ijk}& = \begin{cases}
\dfrac{y_u+y_l}2 - \dfrac{x_u+x_l}2,& \text{if }x_u < y_l\\[15pt]
\dfrac1C \bigg[\dfrac{x_u^3-y_l^3}{6}+\dfrac{y_l^2+x_u^2}{2}x_l + (x_u-y_l)\dfrac{x_l^2}{2}+ \dfrac{y_u^2-x_u^2}{2}(x_u-x_l)& - (y_u-x_u)\dfrac{x_u^2-x_l^2}{2} \bigg],
\\[12pt]& \text{if }x_u\in\left[y_l,y_u\right]\\[15pt]
\dfrac1{x_u-x_l}\bigg[\dfrac{(y_u+y_l)^2}6 - \dfrac{y_u+y_l}2 x_l + \dfrac{x_l^2}2\bigg],& \text{otherwise}
\end{cases}
\end{align*}
The main default of this current workaround which is nearly ok, is that there is an extra space before -(y_u-x_u) that is annoying. Note that I put the second if text under second equation because it would be too width for my memoir otherwise. Please favour simpliest solutions if possible :)




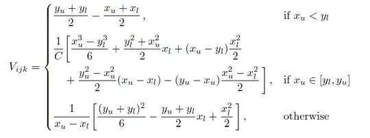
x_u\in\left[y_l,y_u\right]that is above what I expected – JKHA Aug 14 '19 at 13:38\mfracand\multlined, as these are new to me.... – MadyYuvi Aug 14 '19 at 13:38left[with\biggl[... corrected now – Zarko Aug 14 '19 at 14:56