Khan Academy (English - US curriculum)
Math by grade
Eureka Math/EngageNY
Algebra 2 (Eureka Math/EngageNY)
Module 4: Inferences and conclusions from data
Topic C: Lessons 14-17: Sample proportions, sampling variability, margin of error
Topic C: Lessons 14-17: Sample proportions, sampling variability, margin of error
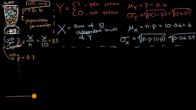
Sampling distribution of sample proportion part 1
Sampling distribution of sample proportion part 2