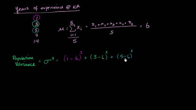
Variance and standard deviation give us a powerful way to measure spread. Standard deviation gives us an idea of the typical distance between each data point and the mean. Let's learn how to calculate the variance and standard deviation of a population.