Khan Academy (English - US curriculum)
Math by grade
Eureka Math/EngageNY
Precalculus (Eureka Math/EngageNY)
Module 3: Rational and exponential functions
Topic B: Lessons 10-11: Simplifying rational expressions
Topic B: Lessons 10-11: Simplifying rational expressions
Reducing rational expressions to lowest terms
Simplifying rational expressions: common monomial factors
Reduce rational expressions to lowest terms: Error analysis
Simplifying rational expressions: common binomial factors
Simplifying rational expressions: opposite common binomial factors
Reduce rational expressions to lowest terms
Simplifying rational expressions: grouping
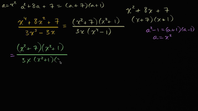
Simplifying rational expressions: higher degree terms
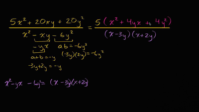
Simplifying rational expressions: two variables
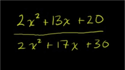
Simplify rational expressions (advanced)