Khan Academy (English - US curriculum)
Math
AP®︎ Calculus BC
Integration and accumulation of change
Using integration by parts
Using integration by parts
Integration by parts intro
Integration by parts: ∫x⋅cos(x)dx
Integration by parts: ∫ln(x)dx
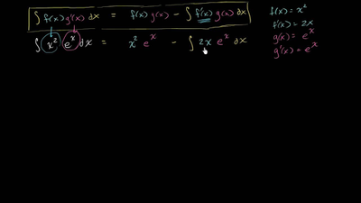
Integration by parts: ∫x²⋅𝑒ˣdx
Integration by parts: ∫𝑒ˣ⋅cos(x)dx
Integration by parts
Integration by parts: definite integrals
Integration by parts: definite integrals