Khan Academy (English - US curriculum)
Math
AP®︎ Calculus BC
Differentiation: definition and basic derivative rules
Derivative rules: constant, sum, difference, and constant multiple: connecting with the power rule
Derivative rules: constant, sum, difference, and constant multiple: connecting with the power rule
Differentiating polynomials
Differentiate polynomials
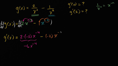
Differentiating integer powers (mixed positive and negative)
Differentiate integer powers (mixed positive and negative)
Tangents of polynomials
Tangents of polynomials