Khan Academy (English - US curriculum)
Math
AP®︎ Calculus BC
Integration and accumulation of change
Finding antiderivatives and indefinite integrals: basic rules and notation: common indefinite integrals
Finding antiderivatives and indefinite integrals: basic rules and notation: common indefinite integrals
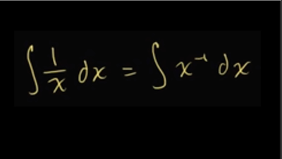
Indefinite integral of 1/x
Indefinite integrals of sin(x), cos(x), and eˣ
Indefinite integrals: eˣ & 1/x
Indefinite integrals: sin & cos