Khan Academy (English - US curriculum)
Science & Engineering
Electrical engineering
Circuit analysis
Natural and forced response
Natural and forced response
Capacitor i-v equations
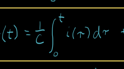
A capacitor integrates current
Inductor equations
Inductor kickback (1 of 2)
Inductor kickback (2 of 2)
RC natural response - intuition
RC natural response - derivation
RC natural response - example
RC step response - intuition
RC step response setup (1 of 3)
RC step response solve (2 of 3)
RC step response example (3 of 3)
Sketching exponentials
Sketching exponentials - examples
LC natural response intuition 1
LC natural response intuition 2
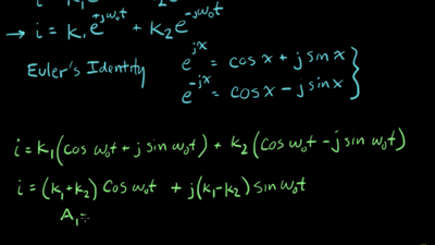
LC natural response derivation 1
LC natural response derivation 2
LC natural response derivation 3
LC natural response derivation 4
LC natural response example