Khan Academy (English - US curriculum)
Math
AP®︎ Calculus BC
Infinite sequences and series
Finding Taylor or Maclaurin series for a function
Finding Taylor or Maclaurin series for a function
Function as a geometric series
Geometric series as a function
Power series of arctan(2x)
Power series of ln(1+x³)
Function as a geometric series
Maclaurin series of cos(x)
Maclaurin series of sin(x)
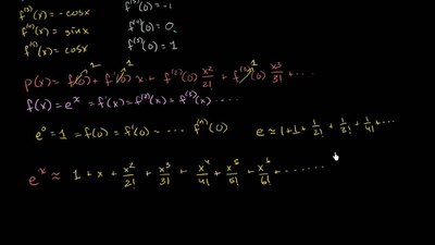
Maclaurin series of eˣ
Worked example: power series from cos(x)
Worked example: cosine function from power series
Worked example: recognizing function from Taylor series
Maclaurin series of sin(x), cos(x), and eˣ
Visualizing Taylor series approximations
Euler's formula & Euler's identity
Geometric series interval of convergence