Khan Academy (English - US curriculum)
Math by grade
High school
Precalculus
Complex numbers
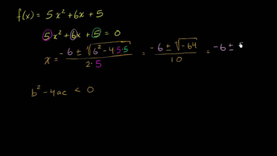
The fundamental theorem of algebra
The fundamental theorem of algebra
The Fundamental theorem of Algebra
Quadratics & the Fundamental Theorem of Algebra
Number of possible real roots of a polynomial