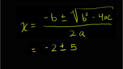
The quadratic formula