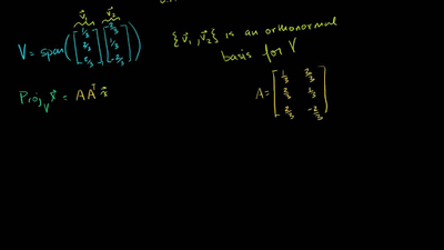
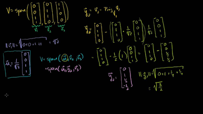
Orthonormal bases and the Gram-Schmidt process

As we'll see in this tutorial, it is hard not to love a basis where all the vectors are orthogonal to each other and each have length 1 (hey, this sounds pretty much like some coordinate systems you've known for a long time!). We explore these orthonormal bases in some depth and also give you a great tool for creating them: the Gram-Schmidt Process (which would also be a great name for a band).