Khan Academy (English - US curriculum)
Math
Linear algebra
Matrix transformations
Transpose of a matrix
Transpose of a matrix
We now explore what happens when you switch the rows and columns of a matrix!
Transpose of a matrix
Determinant of transpose
Transpose of a matrix product
Transposes of sums and inverses
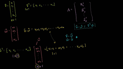
Transpose of a vector
Rowspace and left nullspace
Visualizations of left nullspace and rowspace
rank(a) = rank(transpose of a)
Showing that A-transpose x A is invertible