Khan Academy (English - US curriculum)
Math by grade
Eureka Math/EngageNY
Algebra 2 (Eureka Math/EngageNY)
Module 1: Polynomial, rational, and radical relationships
Topic A: Polynomials—from base ten to base X
Topic A: Polynomials—from base ten to base X
Multiplying binomials by polynomials: area model
Multiply binomials by polynomials: area model
Multiplying binomials by polynomials
Multiply binomials by polynomials
Intro to long division of polynomials
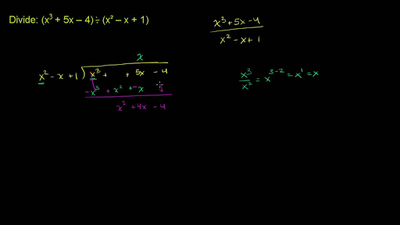
Dividing polynomials: long division
Divide polynomials by x (with remainders)
Divide polynomials by monomials (with remainders)
Divide polynomials by monomials (with remainders)
Dividing polynomials with remainders
Divide polynomials by linear expressions
Divide polynomials with remainders
Simplifying square roots
Simplify square roots
Simplifying square roots (variables)
Simplify square roots (variables)