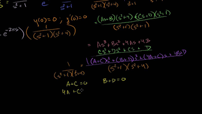
You know a good bit about taking Laplace transform and useful properties of the transform. You are dying to actually apply these skills to an actual differential equation. Wait no longer!