Khan Academy (English - US curriculum)
Math by grade
High school
Precalculus
Rational functions
Modeling with rational functions
Modeling with rational functions
Analyzing structure word problem: pet store (1 of 2)
Analyzing structure word problem: pet store (2 of 2)
Combining mixtures example
Rational equations word problem: combined rates
Rational equations word problem: combined rates (example 2)
Mixtures and combined rates word problems
Rational equations word problem: eliminating solutions
Reasoning about unknown variables
Reasoning about unknown variables: divisibility
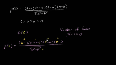
Structure in rational expression