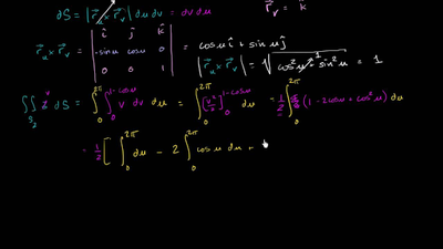
Surface integrals

Finding line integrals to be a bit boring? Well, this tutorial will add new dimension to your life by exploring what surface integrals are and how we can calculate them.